Question
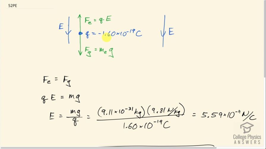
(a) What is the direction and magnitude of an electric field that supports the weight of a free electron near the surface of Earth? (b) Discuss what the small value for this field implies regarding the relative strength of the gravitational and electrostatic forces.
Final Answer
- The electrostatic force is much greater than gravity since a much smaller electric field is needed to create the same magnitude force as gravity.
Solution video
OpenStax College Physics, Chapter 18, Problem 52 (Problems & Exercises)

vote with a rating of
votes with an average rating of
.
Calculator Screenshots
Video Transcript
This is College Physics Answers with Shaun Dychko. An electron is suspended in space just close to the ground and it has a charge of 1.60 times 10 to the minus 19 coulombs— negative because it's an electron— and the electrostatic force upwards is equal to the force of gravity downwards and because the electrostatic force is upwards, this means the electric field direction must be downwards because the electric field points in the direction of force would be applied on a positive charge. So because this is a negative charge, the field is going to point in the opposite direction to the direction of force on a negative charge. So we can say that the electrostatic force magnitude equals magnitude of gravity so that's q times E equals mg and we can divide both sides by the charge to solve for the electric field. So the electric field strength is mass of an electron times gravitational field strength divided by the charge on the electron. So we substitute in numbers for those things: the mass of an electron is 9.11 times 10 to the minus 31 kilograms times 9.81 newtons per kilogram and then divide by 1.60 times 10 to the minus 19 coulombs. This makes an electric field of 5.59 times 10 to the minus 11 newtons per coulomb towards the ground; this field is very small... it's of order of magnitude 10 to the minus 11 whereas gravitational field strength is of order of magnitude 10 to the positive 1 and so comparing these orders of magnitude shows that the electrostatic force requires so much less field to make an equal size force as the gravitational field is and so that means electrostatic force is much greater than gravity because it requires such a way less field strength compared to gravity to make the same force.