Question
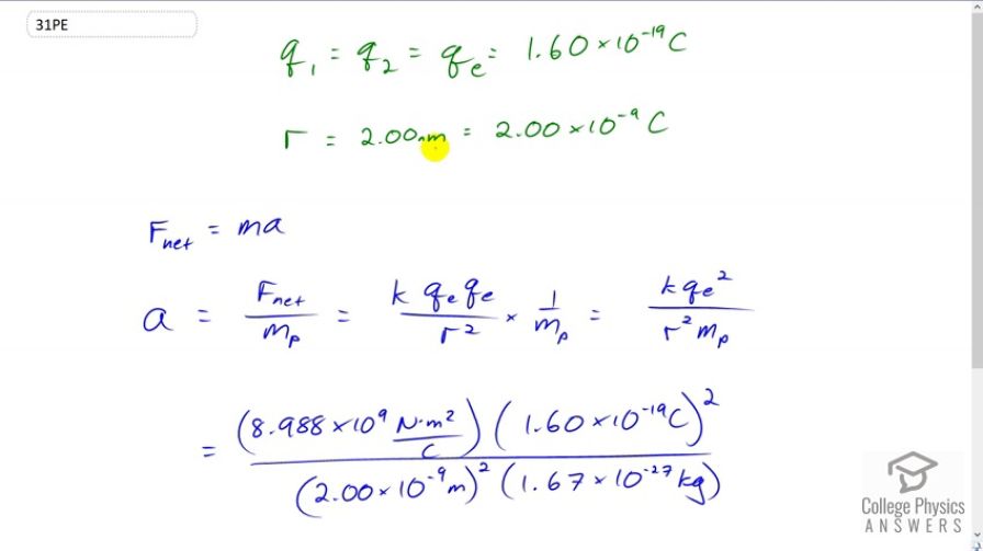
Bare free charges do not remain stationary when close together. To illustrate this, calculate the acceleration of two isolated protons separated by 2.00 nm (a typical distance between gas atoms). Explicitly show how you follow the steps in the Problem-Solving Strategy for electrostatics.
Final Answer
Solution video
OpenStax College Physics, Chapter 18, Problem 17 (Problems & Exercises)

vote with a rating of
votes with an average rating of
.
Calculator Screenshots
Video Transcript
This is College Physics Answers with Shaun Dychko. We're going to calculate the acceleration of two protons when they are two nanometers apart which is typical for protons in a gas. Each proton has a charge of the elementary charge which is 1.6 times ten to the minus nineteen coulombs, and we convert this separation into base units in meters. Let's put an m there. Okay. So net force is mass times acceleration and so we can calculate the acceleration by dividing both sides by m. The net force is going to be the electrostatic force. So that is k q one q two but I didn't out a one or a two subscript on the q's because they're both elementary charges. Then divide by the distance between them squared, and then divide that by the mass of the proton which is the same as multiplying by one over the mass of the proton. So we end up with this expression here where Coulomb's constant k times elementary charge squared, divided by the distance between the protons squared, times the mass of the proton. So we have 8.988 times ten to the nine Newton meter squared per coulomb squared, multiplied by elementary charge squared, divided by two nanometers squared, times the mass of a proton. We get 3.44 times ten to the sixteen meters per second squared acceleration.