Question
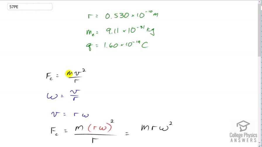
Calculate the angular velocity of an electron orbiting a proton in the hydrogen atom, given the radius of the orbit is You may assume that the proton is stationary and the centripetal force is supplied by Coulomb attraction.
Final Answer
Solution video
OpenStax College Physics, Chapter 18, Problem 57 (Problems & Exercises)

vote with a rating of
votes with an average rating of
.
Calculator Screenshots
Video Transcript
This is College Physics Answers with Shaun Dychko. We're going to calculate the angular velocity of an electron orbiting a proton. So the centripetal force is mv squared over r and the angular velocity is the tangental speed v divided by the radius. In which case we can solve for v by multiplying both sides by r. And we get v equals r omega, and then we'll substitute that in for v in this centripetal force formula. So, I've written r omega instead of v and that gets squared. So you have r squared divided by r which is r to the power of one. So the centripetal force is mass times radius times omega squared. And this centripetal force is provided by the electrostatic force which is kq1q2 over r squared. And q1 is the electron and q2 is the proton and both of them has the same elementary charge, same magnitude anyhow. And so we'll just call this q squared. And so we'll equate this kq squared over r squared with the centripetal force, mr omega squared. And so for omega squared, by dividing both sides by mr, and we get omega squared is kq squared over m times r to the power of three. And then take the square root of both sides to solve for omega. It's going to be q times the square root of k over mr cubed. So, let me plug in numbers. We have the elementary charge times the square root of Coulombs Constant divided by the mass of an electron times the radius of 0.53 times ten to the minus ten meters, cubed. And we get 4.12 times ten to the 16 radians per second is the angular velocity.