Question
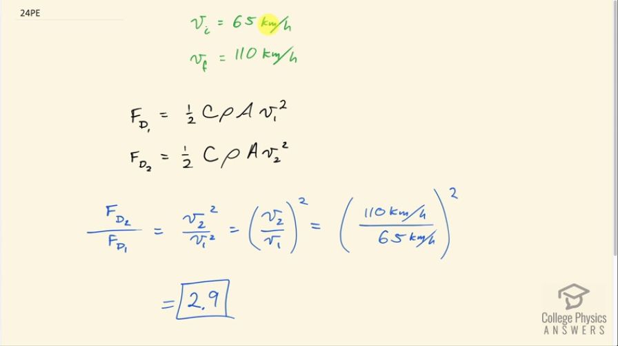
By what factor does the drag force on a car increase as it goes from 65 to 110 km/h?
Final Answer
2.9
Solution video
OpenStax College Physics, Chapter 5, Problem 24 (Problems & Exercises)

vote with a rating of
votes with an average rating of
.
Calculator Screenshots
Video Transcript
This is College Physics Answers with Shaun Dychko. The question here is by what factor does the drag force increase when the car increases its speed from 65 kilometers an hour to 110 kilometers an hour? So the drag force formula is one-half times drag coefficient times density of air times the cross-sectional area of the object times its speed squared and I put a subscript only on the speed because that's the only factor that changes between the two scenarios— the first and the second scenario— so we have speed 1 and we have speed 2. So when we divide these two drag forces, all these factors are going to cancel and we are left with only v 2 squared divided by v 1 squared and that can be written as v 2 over v 1 all squared. I noticed that it's not necessary to change the units into meters per second although that's normally what we would do to have mks units—meters, kilograms and seconds— but in this case, the units just have to be the same so that they cancel and we'll be left with an answer of 2.9. So we can say that the drag force in case two is increased by a factor of 2.9 compared to the drag force in scenario one.