Question
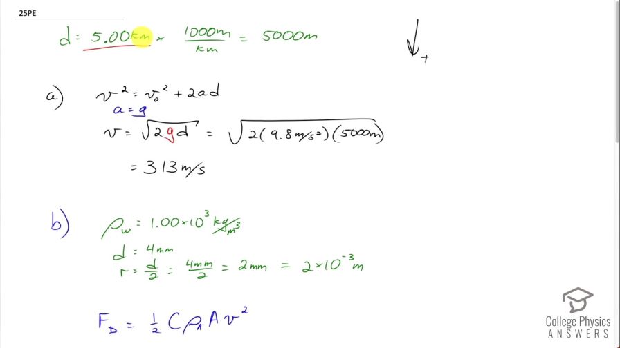
Calculate the speed a spherical rain drop would achieve falling from 5.00 km (a) in the absence of air drag (b) with air drag. Take the size across of the drop to be 4 mm, the density to be 1.00×103 kg/m31.00 \times 10^3 \textrm{ kg/m}^3, and the surface area to be πr2\pi r^2.
Question by OpenStax is licensed under CC BY 4.0
Final Answer
  1. 313 m/s313\textrm{ m/s}
  2. 9.80 m/s9.80\textrm{ m/s}

Solution video

OpenStax College Physics, Chapter 5, Problem 25 (Problems & Exercises)

In order to watch this solution you need to have a subscription.

Start free trial Log in
vote with a rating of votes with an average rating of .

Calculator Screenshots

  • OpenStax College Physics, Chapter 5, Problem 25 (PE) calculator screenshot 1
Video Transcript
This is College Physics Answers with Shaun Dychko. We are going to calculate the terminal velocity of a drop of water falling 5.00 kilometers through the air in two scenarios. In scenario (a), we assume well, the air isn't really there—there's no drag— in which case, there really isn't a terminal velocity at all, the drop will continue to accelerate indefinitely until it hits the ground so really this is a final calculation of the drop's velocity when it hits the ground. In part (b) however, we do have air drag and we will use this formula for the drag force and equate that to the weight of the drop and say well what would the speed be when these two forces are of equal magnitudes but opposite directions? Okay! So first things first: in part (a), we use this kinematics formula to figure out the final velocity of the drop so final velocity squared equals initial velocity squared plus 2 times acceleration times the distance— acceleration here is the acceleration due to gravity so we'll call it g— and so v then after you take the square root of both sides and get rid of this v naught squared since it starts with a velocity of 0, v is going to equal square root of 2 times g times d where g was substituted in place of a. So that's square root of 2 times 9.8 meters per second squared times 5.00 kilometers written in meters by multiplying 5.00 kilometers by 1000 meters per kilometer and the kilometers cancel leaving us with meters; we always need to have m.k.s units in our formulas— this is meters, kilograms and seconds— those are the typical units we need for most formulae so we plug in 5000 meters here do that calculation and you get 313 meters per second will be the speed of the drop just before it hits the ground or after 5.00 kilometers. Okay! In part (b), we need to write down some of the things that we know: the question tells us to assume the density of water is 1.00 times 10 to the 3 kilograms per cubic meter and that the diameter of the drop is 4 millimeters. We are also told to assume the drop is spherical which isn't strictly true, they are kind of pancake shape when they fall through the air because they get squished by the air pushing up on the drop but anyway, we'll just assume it's a sphere for simplicity. Our formulas typically require radius and so we will take half the diameter and so we will take 4 millimeters divided by 2 to get 2 millimeter radius but again we want m.k.s units again— meters, kilograms and seconds— so we will rewrite 2 millimeters as 2 times 10 to the minus 3 meters, where this times 10 to the minus 3 is what the prefix 'milli' means times 10 to the minus 3. Okay! So drag force is one-half times drag coefficient times the density of, in this case, air and I put a subscript A there to be clear that this is a density of air in this formula because this is the fluid that the object is falling through and the object being a drop of water is falling through the air and so this is not 1.00 times 10 to the 3 kilograms per cubic meter here... no way... this is not the density of water, this is the density of air, which is 1.21 kilograms per cubic meter but we'll get to that later. And then we multiply by the cross-sectional area of the object which we are told to assume is the area of a circle and then times by whatever the speed is of the object squared. This drag force is also going to equal the weight of the object when it is at its terminal velocity because that's what terminal velocity means when the drop is here... and I am going to draw it as a sphere... and it's at terminal velocity that means that the weight which has the same magnitude all the time downwards equal to mg— mass times its gravitational field strength— and when that drag force upwards is of equal size to the weight downwards that means there is no acceleration which means this is the maximum possible speed that the drop can reach during free fall. Okay! So that's why we have an equal sign there because this is true when the object has reached terminal velocity. So we need to substitute into these two formulae and we want to substitute for mass, which we don't know, but we do know the size of the drop and the density of water and the shape of the drop and so we can multiply the density of the water times its volume and then figure out the mass from that. So the volume is that of a sphere which is four-thirds times πr cubed and we also need to know what the area is and we are told to assume that's the area of a circle so that's π times r squared and then we do a bunch of substitutions here which is substituting into this formula here where... let's get rid of the steps there... we are replacing the area with πr squared and we are replacing the mass with this formula here. Okay! So this is saying drag force on the left equals weight on the right but with a bunch of substitutions shown in red. Okay! Next step is to do some algebra to solve for v on the left side. So we will first divide both sides by π so the π's cancel then divide both sides by r squared so the r squared cancels on the left and on the right side, when we divide by r squared, we'll end up with r to the power of 1 which is why it's just r to the power of 1 shown here. And then we'll multiply both sides by 2 over drag coefficient times density of air and then we have v squared on the left side now and then take the square root of both sides to solve for v. So v then is equal to the square root of 8— which is this 4 times that 2— times the density of water times gravitational field strength times the radius of the drop all divided by 3 times drag coefficient times the density of air and then we substitute in numbers. So we have 8 times— density of water—1.00 times 10 to the 3 kilograms per cubic meter times 2 times 10 to the minus 3 meters—radius— times 9.8 meters per second squared divided by 3 times—drag coefficient of a sphere which I found in table [5.2]— and then multiply by the density of air, which is a number that's not standardized because the air density depends on how much humidity there is and what the temperature is and so on but here's the number that they are using in their own calculations for the examples in chapter 5 so I chose that number 1.21 kilograms per cubic meter. Although this works out to 9.80 meters per second, which is a relief because if you were getting hit by raindrops that were traveling at 313 meters per second that would cause an injury whereas the drops we actually get hit by are going around this speed of about 10 meters per second, which is lovely if it's a nice, warm day!

Comments

In the problem of part b you have 8/3 in the square root, but in your calculator you have 5. Is that an error?

Nice catch marievillafuerte! Yes, that was an error. I've corrected it by uploading an updated calculator screenshot and changed the final written answer.

Thanks again, and best wishes with your studies,

Shaun

Hi emilyj2020, you're quite right that I made an error plugging numbers into the calculator when I recorded the video, but the calculator screenshot and final answer have already been corrected. If you're still getting a different answer, consider checking what you used for the drag coefficient, since it is a bit ambiguous as to what the drag coefficient should be. I used 0.45 for a sphere, looking at Table 5.2.
All the best,
Shaun