Question
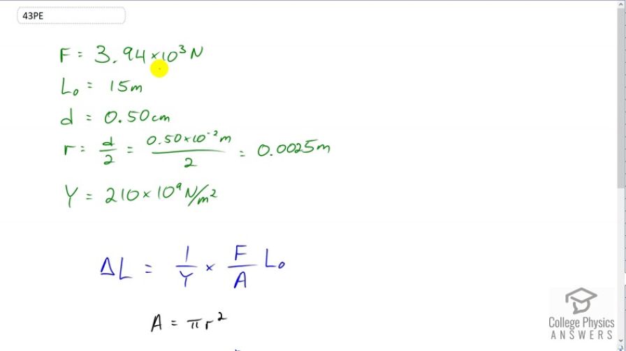
This problem returns to the tightrope walker studied in Example 4.6, who created a tension of in a wire making an angle below the horizontal with each supporting pole. Calculate how much this tension stretches the steel wire if it was originally 15 m long and 0.50 cm in diameter.
Final Answer
Solution video
OpenStax College Physics, Chapter 5, Problem 43 (Problems & Exercises)

vote with a rating of
votes with an average rating of
.
Calculator Screenshots
Video Transcript
This is College Physics Answers with Shaun Dychko. The information that we're given is that the tight-rope walker causes the tension force in the steel wire to be 3.94 times ten to the three newtons. Notice that the angle of the wire doesn't actually matter. Typically that angle is given when we need to figure out what the tension is, but here we're given the tension already. So that's all we need to know to plug into our formula for the change in length. So we know the original length is 15 meters and the cross sectional area of the wire is going to be pi times its radius squared. So we'll take the diameter of 0.5 centimeters and divide it by two to get the radius and also convert the centimeters into meters and we get 0.0025 meters is the radius. The Young's modulus of steel we had to look up in the table 5.3 and that's 210 times ten to the nine newtons per square meter. So the change in length is one divided by Young's modulus, multiplied by the tension force, divided by the cross sectional area, multiplied by the original length. We substitute pi r squared in place of a and then we plug in numbers. So we have one over 210 times ten to the nine newtons per square meter, times 3.94 times ten to the three newtons, divided by pi times 0.0025 meters squared, multiplied by 15 meters. That gives 0.0143 meters which is about 1.4 centimeters of stretch.