Question
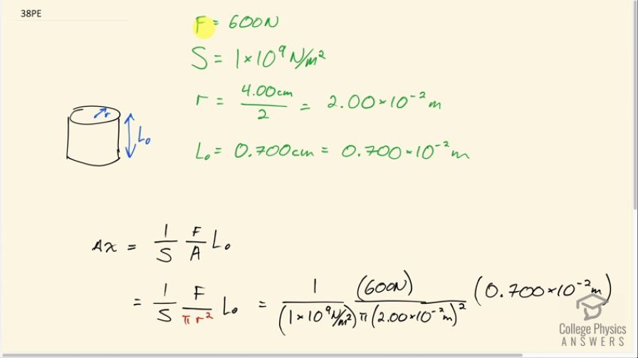
A disk between vertebrae in the spine is subjected to a shearing force of 600 N. Find its shear deformation, taking it to have the shear modulus of . The disk is equivalent to a solid cylinder 0.700 cm high and 4.00 cm in diameter.
Final Answer
Solution video
OpenStax College Physics, Chapter 5, Problem 38 (Problems & Exercises)

vote with a rating of
votes with an average rating of
.
Calculator Screenshots
Video Transcript
This is College Physics Answers with Shaun Dychko. A disc in the spine has a shear modulus of 1 times 10 to the 9 newtons per square meter and a shearing force which is a force that goes sideways is 600 newtons applied on it and the vertebrae is equivalent to well, I should I say the disc between the vertebrae is equivalent to a cylinder with a radius of 2 centimeters which I convert into meters by multiplying by 10 to the minus 2; I also took the diameter given and divided it by 2 since the formula I like to use for cross-sectional area is π times radius squared. And the height of this equivalent cylinder is 0.7 centimeters also converted into meters. So the amount of sideways displacement or the amount of shear deformation, in other words, is 1 over the shear modulus times the force applied divided by the cross-sectional area multiplied by the length of the object. So we substitute πr squared in place of A and then plug in numbers. So that's 1 over 1 times 10 to the 9 newtons per square meter times 600 over π times 2.00 times 10 to the minus 2 meters squared times 0.700 times 10 to the minus 2 meters which is 3 micrometers. So this cylinder is gonna be moved over sideways 3 micrometers.