Question
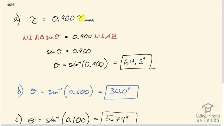
(a) At what angle is the torque on a current loop 90.0%
of maximum? (b) 50.0% of maximum? (c) 10.0% of maximum?
Final Answer
Solution video
OpenStax College Physics, Chapter 22, Problem 46 (Problems & Exercises)

vote with a rating of
votes with an average rating of
.
Calculator Screenshots
Video Transcript
This is College Physics Answers with Shaun Dychko. In part (a), we want to know at what angle is the torque equal to 90 percent of the maximum torque? So 90 percent is written here as a decimal, 0.900, and the maximum torque is the number of turns times the current times the area of the loop times the magnetic field strength and the torque as a function of Θ is that same thing—that maximum torque— multiplied by sin of the angle Θ. So these factors that are the same on both sides can cancel and divide both sides by all those factors and we end up with sin Θ equals this percent written as a decimal and to find Θ, we take the inverse sin of both sides. So Θ then is the inverse sin of 0.900, which is 64.2 degrees. In part (b) then we have Θ is the inverse sin of 0.500 since that's 50 percent written as a decimal and that's 30.0 degrees and in part (c), the inverse sin of 0.100 gives 5.74 degrees and that's the angle at which the torque will be 10 percent of its maximum.