Question
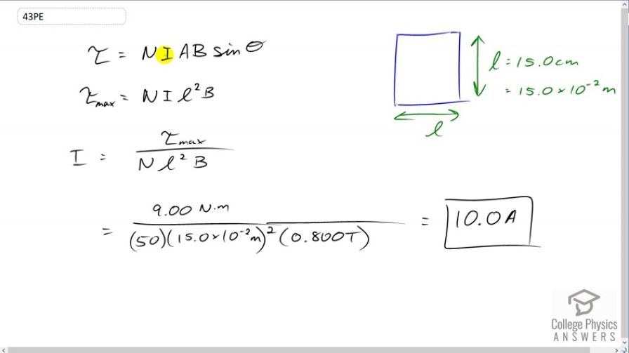
Find the current through a loop needed to create a maximum torque of The loop has 50 square turns that are 15.0 cm on a side and is in a uniform 0.800-T magnetic field.
Final Answer
Solution video
OpenStax College Physics, Chapter 22, Problem 43 (Problems & Exercises)

vote with a rating of
votes with an average rating of
.
Calculator Screenshots
Video Transcript
This is College Physics Answers with Shaun Dychko. The torque on a current-carrying loop which is in a magnetic field is the number of turns of wire in a loop multiplied by the current through the wire and multiplied by the area of the loop and multiplied by the magnetic field strength B, and multiplied by the sine of the angle between a perpendicular to the loop and the magnetic field direction. Now, in this question, we have a square a loop. And so its area is going to be a side links squared, length times length. So we've substituted l squared in place of A there. And we're talking about maximum torque. And so maximum torque occurs when this angle theta is 90 degrees in which case sine of that is one. So we don't need to write in the maximum torque formula. We're going to solve for the current and so we're going to divide by number of turns times side links squared times B on both sides. And we got the current is maximum torque divided by number of turns times the side links squared times magnetic field strength. So that's nine Newton meters of torque divided by 50 turns times 15 centimeters side links which is times ten to the minus two meters and we square that times by 0.8 Tesla giving us 10.0 Amps of current.