Question
An AC appliance cord has its hot and neutral wires separated by 3.00 mm and carries a 5.00-A current. (a) What is the average force per meter between the wires in the cord? (b) What is the maximum force per meter between the wires? (c) Are the forces attractive or repulsive? (d) Do appliance cords need any special design features to compensate for these forces?
Final Answer
- The force is repulsive
- This force is so small that there is no need to design ways to compensate for it.
Solution video
OpenStax College Physics, Chapter 22, Problem 54 (Problems & Exercises)

vote with a rating of
votes with an average rating of
.
Calculator Screenshots
Video Transcript
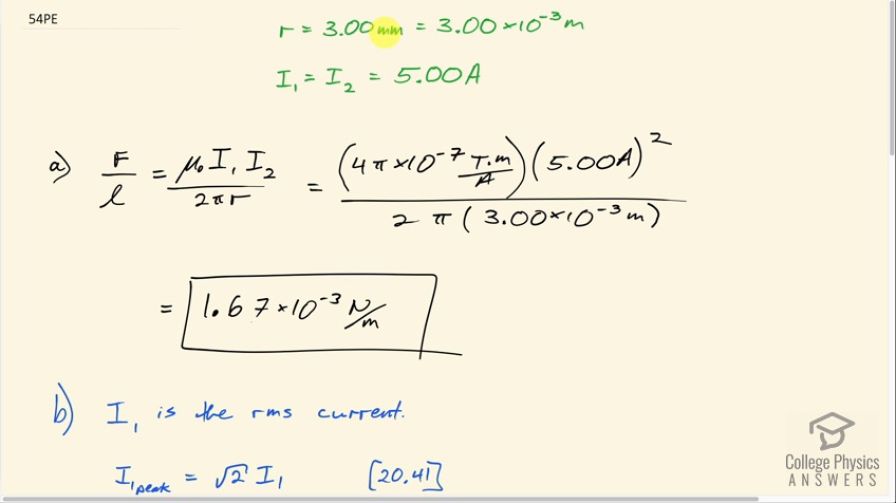
This is College Physics Answers with Shaun Dychko. An AC appliance cord has a hot and a neutral wire in it separated by 3.00 millimeters, which is 3.00 times 10 to the minus 3 meters and they each carry 5.00 amps. So because we are told that this is an AC power source—that means it's alternating current— so the currents given to us here must be the RMS currents and that's gonna be important for part (b)... we'll talk about it more then. So part (a) we are gonna find the force per length on average between the two wires. So that's the permeability of free space times the current in one wire multiplied by the current in the other wire divided by 2π times the separation between the wires. So that's 4π times 10 to the minus 7 tesla meters per amp times 5.00 amps squared— because the current in each is the same— divided by 2π times 3.00 times 10 to the minus 3 meters and that's 1.67 times 10 to the minus 3 newtons per meter. Now if we think back to chapter 20, there's an equation number 41 which tells us that the peak current in this alternating current scenario is root 2 times—root means squared current— so the current is oscillating like this or alternating and there's an average which is around here that's not quite cutting it it's not cutting the height quite in half it's 1.4... this peak here is 1.4 times whatever the dotted line is, which is the RMS. Okay! And that's just a formula that you have to know based on this sinusoidally varying current but the peak will always be root 2 times the RMS—root means squared— version of the current. Okay! So that means the peak force per length will be μ naught times the peak currents multiplied together divided by 2πr and we can substitute root 2 times the root means squared current in place of the peak current and this root 2 times root 2 makes 2 multiplied by μ naught times I 1 squared over 2πr and this is the average force per length that we found in part (a). So 2 times that average gives us 3.33 times 10 to the minus 3 newtons per meter; this is the peak force per length that happens at any particular moment and it lasts for just a moment when the current is at the peaks here, here, here and here. Okay! This force is repulsive because the currents have to be going in opposite directions on these adjacent wires and so if you consider this current on the bottom— I have labeled it in green, I 2— and if you put your thumb in the direction of this current, your fingers will curl in the direction of the magnetic field that it creates in the position of the current I 1 and so I have labeled this in green to indicate that it's caused by this bottom current that is green and it's going into the page here and so now we grab or we put our fingers in the direction of this green magnetic field into the page, our thumb will point to the right because that's the direction of current of I 1 and our palm will tell us the direction of force and that is upwards so this is the force on wire one due to wire two. And then we can do the same analysis in the other direction: we can say what magnetic field is this current I 1 producing at the position of this current two and so we grab wire number one with our right hand, thumb pointing to the right and our fingers will be curling into the page at the position of wire two and so there's x's in blue here to indicate magnetic field created by current I 1. And then fingers point into the page and then our thumb points to the left because that's the direction of current I 2 and our palm is now facing down so the force on wire two due to wire one is downwards. These forces are in opposite directions; these wires are repelling each other and there we go! And there's no need to take this repulsion into account while designing wires because the force is so small; it is only... well, it's you know, we are talking millinewtons for every meter of wire.