Question
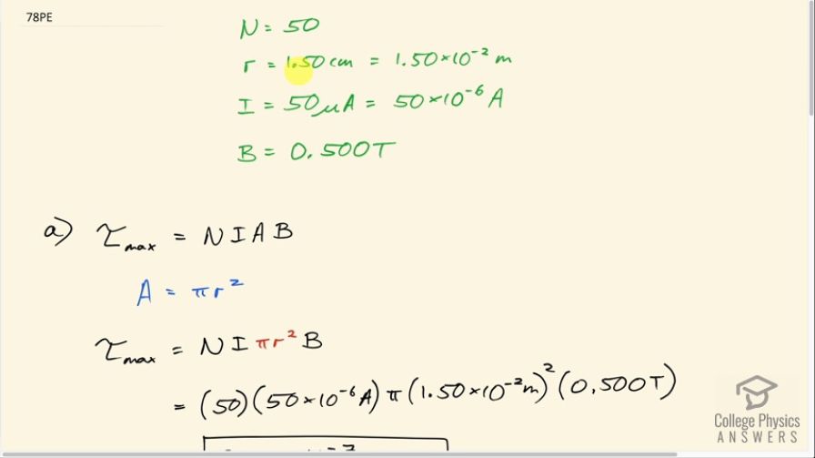
(a) Calculate the maximum torque on a 50-turn, 1.50 cm radius circular current loop carrying in a 0.500-T field.
(b) If this coil is to be used in a galvanometer that reads
full scale, what force constant spring must be used, if it is attached 1.00 cm from the axis of rotation and is stretched by the arc moved?
Final Answer
Solution video
OpenStax College Physics, Chapter 22, Problem 78 (Problems & Exercises)

vote with a rating of
votes with an average rating of
.
Calculator Screenshots
Video Transcript
This is College Physics Answers with Shaun Dychko. We are going to find the maximum torque on a circular loop that has 50 turns in it and a radius of 1.50 centimeters carrying 50 microamps of current in a magnetic field that's 0.500 Tesla. So the maximum torque happens when the plane of the loop is perpendicular to the field or you could say the perpendicular of the loop is parallel to the field and that happens when the number of turns multiplied by the current times the area of the loop multiplied by field strength. So the area is π times radius squared since the loop is circular and we substitute that in for A and then we have 50 turns times 50 times 10 to the minus 6 amps— of current—times π times 1.50 times 10 to the minus 2 meters— radius—squared times 0.500 Tesla works out to 8.84 times 10 to the minus 7 Newton meters is the maximum torque. Now in part (b), we are told that this coil is going to be used in a galvanometer that reads 50 amps at its maximum so there could be some indicator needle that is observed and it's going to sweep across this scale starting from 0 going up to a maximum of 50 microamps as this loop turns so this loop will pivot so that it later on is like this and the needle is pointing down— I didn't copy the scale there but you get the idea hopefully... the scale would be like this... now it's reading 50 microamps at full scale. So when it does that, it's going to stretch the spring that's holding the loop in its neutral position when there is no current. So it's going to stretch it this much—Δx— and we need to figure out what spring constant is needed such that we have this Δx when there's a full scale reading? So we are told the angle through which the loop moves, which is 60 degrees so here is the loop here and the spring is attached some distance l from the pivot and this l we are given is 1.00 centimeter and we are given this angle θ and we are going to assume that there's a right triangle here and that assumption is close enough it assumes that this attachment point from the spring is really far away from the loop in comparison to the distance between the pivot and the point of attachment because if it was close then when the spring is stretched there will be some angle like this but we are going to assume that that's negligible and the spring is still essentially horizontal when it is stretched. So that's the assumption here... 90 degrees there. This angle is α and so this angle is important because the force due to the spring is going to have this angle with respect to the lever arm and so that's going to affect the torque created by the force so the force is going to be directly this way due to the spring and we will go force times the lever arm times sin of α to find the torque that it creates. α is 90 minus θ, which is 30 degrees— 90 minus 60— and the force exerted by the spring is the spring constant times this amount of stretching here and the amount of stretching divided by this hypotenuse is equal to sin θ and we can solve for Δx then by multiplying both sides by l and we get that the amount of stretching then is the distance from the pivot to the attachment point of the spring times sin θ so we substitute that in for Δx here. And the torque is the force the spring exerts multiplied by the perpendicular component of its lever arm so that's l times sin of α and then we substitute for F with this expression... we do that here. So we have torque then is spring constant times the lever arm squared times sin θ times sin α and we can solve this for the spring constant by dividing both sides by l squared sin θsin α and then we get that k is the torque divided by l squared sin θsin α. We know that torque is going to be at its maximum when the needle is pointing towards 50 microamps because we are told that's the maximum scale reading and we figured out in part (a) what that torque will be. So we substitute that torque that we calculated in part (a) divided by 1.00 centimeter—converted into meters—squared times sin 60 times sin 30 and that is 2.04 times 10 to the minus 2 Newtons per meter is the spring constant.