Question
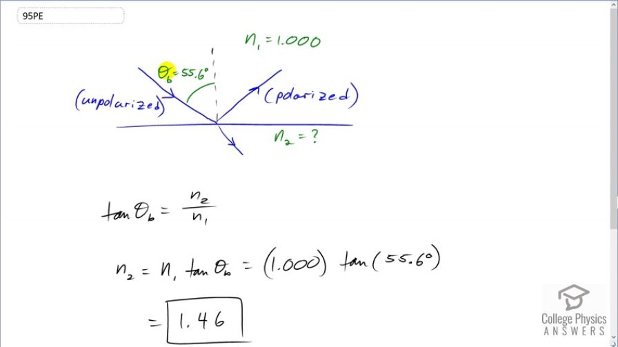
Light reflected at 55.655.6^\circ from a window is completely polarized. What is the window’s index of refraction and the likely substance of which it is made?
Question by OpenStax is licensed under CC BY 4.0
Final Answer
1.461.46 This is fused quartz.

Solution video

OpenStax College Physics, Chapter 27, Problem 95 (Problems & Exercises)

OpenStax College Physics, Chapter 27, Problem 95 (PE) video thumbnail

In order to watch this solution you need to have a subscription.

Start free trial Log in
vote with a rating of votes with an average rating of .

Calculator Screenshots

  • OpenStax College Physics, Chapter 27, Problem 95 (PE) calculator screenshot 1
Video Transcript
This is College Physics Answers with Shaun Dychko. Light reflected from this window is polarized. And so that means this incident angle is probably a Brewster's angle. We'll assume that this is the minimum angle at which this reflected light is polarized. So that's 55.6 degrees. And the question is what is the index of refraction of this material from which it is reflecting. So, we have tangent of Brewster's angle is the index of refraction of this second material divided by the index of refraction of the initial material which is air. And so we're gonna solve for n two by multiplying both sides by n one. And so we have the index refraction of the glass is n one times tangent of Brewster's angle. So, that’s 1.0 index refraction of air multiplied by tangent of 55.6 degrees which gives us an index of refraction of the glass of 1.46 and this is likely fused quartz.