Question
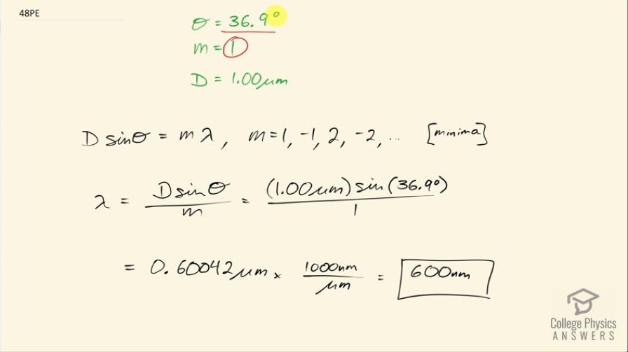
Calculate the wavelength of light that produces its first minimum at an angle of 36.936.9^\circ when falling on a single slit of width 1.00 μm1.00\textrm{ }\mu\textrm{m}.
Question by OpenStax is licensed under CC BY 4.0
Final Answer
600 nm600 \textrm{ nm}

Solution video

OpenStax College Physics, Chapter 27, Problem 48 (Problems & Exercises)

OpenStax College Physics, Chapter 27, Problem 48 (PE) video thumbnail

In order to watch this solution you need to have a subscription.

Start free trial Log in
vote with a rating of votes with an average rating of .

Calculator Screenshots

  • OpenStax College Physics, Chapter 27, Problem 48 (PE) calculator screenshot 1
Video Transcript
This is College Physics Answers with Shaun Dychko. We are going to calculate the wavelength of light that produces its first minimum at an angle of 36.9 degrees when passing through a single slit of width 1.00 micrometer; this is our formula for relating the width of the slit to the angle to the minimum and this is the order of the minimum and the wavelength and m can be 1, negative 1, 2 or negative 2 and so on. We can solve this for λ by dividing both sides by m and then switch the sides around and we have the wavelength then is the slit width times sin of the angle to the minimum divided by the order of the minimum. So we have 1.00 micrometer— width of the slit— times sin of 36.9 degrees and we are told this is the first minimum so the order is 1 and that is 0.60042 and units are micrometers since we use micrometers in our workings and then we'll convert this into nanometers because that looks a little bit nicer so we multiply by 1000 nanometers for every micrometer and we have 600 nanometers. Strictly speaking, you know, I should probably write this as 6.00 times 10 to the 2 nanometers since that would be explicit about the number of significant figures... it should be three here.