Question
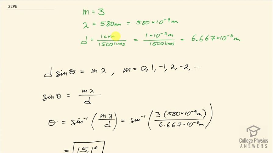
Find the angle for the third-order maximum for 580-nm- wavelength yellow light falling on a diffraction grating having 1500 lines per centimeter.
Question by OpenStax is licensed under CC BY 4.0
Final Answer
15.115.1^\circ

Solution video

OpenStax College Physics, Chapter 27, Problem 22 (Problems & Exercises)

OpenStax College Physics, Chapter 27, Problem 22 (PE) video thumbnail

In order to watch this solution you need to have a subscription.

Start free trial Log in
vote with a rating of votes with an average rating of .

Calculator Screenshots

  • OpenStax College Physics, Chapter 27, Problem 22 (PE) calculator screenshot 1
Video Transcript
This is College Physics Answers with Shaun Dychko. 580 nanometer light is passing through a diffraction grating that has 1 centimeter between every 1500 lines and that we can figure out the amount of centimeters between each line by dividing these two numbers. So it's 1 times 10 to the minus 2 meters divided by 1500 lines and that's 6.667 times 10 to the minus 6 meters between each line so it's about 6.7 micrometers between each line and we want to know what is the angle to the third order maximum in the pattern on the screen that's behind the diffraction grating? So we have this formula for figuring that out this is the separation between each line in the diffraction grating times sin of the angle to the maximum and that equals the order of the maximum times the wavelength of light that we are dealing with and we'll solve this for sin Θ by dividing both sides by d so sin Θ is over d and then take the inverse sin of both sides to solve for Θ. So Θ is the inverse sin of the order, which is 3 times the wavelength, which is 580 times 10 to the minus 9 meters divided by the distance between slits and the diffraction grating and that's 6.667 times 10 to the minus 6 meters and the angle then is 15.1 degrees to the third order maximum.