Question
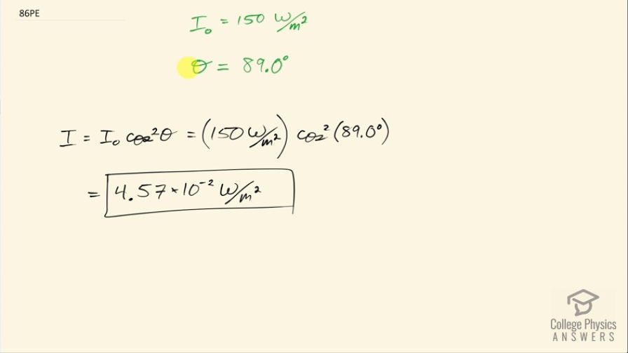
If you have completely polarized light of intensity 150 W/m2150\textrm{ W/m}^2 , what will its intensity be after passing through a polarizing filter with its axis at an 89.089.0^\circ angle to the light’s polarization direction?
Question by OpenStax is licensed under CC BY 4.0
Final Answer
4.57×102 W/m24.57\times 10^{-2}\textrm{ W/m}^2

Solution video

OpenStax College Physics, Chapter 27, Problem 86 (Problems & Exercises)

OpenStax College Physics, Chapter 27, Problem 86 (PE) video thumbnail

In order to watch this solution you need to have a subscription.

Start free trial Log in
vote with a rating of votes with an average rating of .

Calculator Screenshots

  • OpenStax College Physics, Chapter 27, Problem 86 (PE) calculator screenshot 1
Video Transcript
This is College Physics Answers with Shaun Dychko. Polarized light with an intensity of 150 watts per square meter is going to be going through a polarizing filter that has its axis at an angle of 89.0 degrees to the direction of the lights polarization. So the intensity then is going to be this initial intensity going into the polarizing filter times cosine of this angle squared. So that's 150 watts per square meter times cos of 89.0 degrees and then square that and we get 4.57 times 10 to the minus 2 watts per square meter will be the intensity that has passed through the polarizing filter.