Question
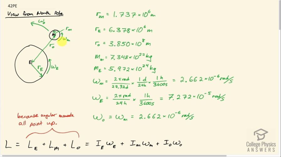
Consider the Earth-Moon system. Construct a problem in which you calculate the total angular momentum of the system including the spins of the Earth and the Moon on their axes and the orbital angular momentum of the Earth-Moon system in its nearly monthly rotation. Calculate what happens to the Moon’s orbital radius if the Earth’s rotation decreases due to tidal drag. Among the things to be considered are the amount by which the Earth’s rotation slows and the fact that the Moon will continue to have one side always facing the Earth.
Final Answer
If the rotational speed of the Earth decreased by 10%, the orbital radius of the moon would be which is an increase of 1.22%.
Solution video
OpenStax College Physics, Chapter 10, Problem 42 (Problems & Exercises)

vote with a rating of
votes with an average rating of
.
Calculator Screenshots
Video Transcript
This is College Physics Answers with Shaun Dychko. Congratulations on choosing to watch this video because it's a long one and I'm congratulating you because you are brave and that's wonderful and that means you are taking a good shot at succeeding in Physics. Nicely done... okay! So what do we have here? We have an angular momentum due to the Moon's rotation; we have an angular momentum due to the Moon's revolution around the Earth, its orbit in another words, and we have the Earth's rotation as well giving a third angular momentum and the question asks us in the first part to calculate the total angular momentum of the system consisting of three different angular momenta. And these angular momenta can be added up as scalar numbers only because the angular momenta are all... the vectors point in the same direction. So to know what direction this angular momentum is, you grab this rotating object with your right hand and your thumb points in the direction of the angular momentum vector and so looking down from the north pole, Earth rotates counter-clockwise and grabbing the equator with your right hand, your thumb points out of the page towards the north pole, in other words, and the same is true for the Moon and the same is true for the Moon's orbit. So all of these momenta are all collinear... they are all parallel, I should say. So they are all parallel pointing up and because they are all pointing in the same direction, we can just add them together, we don't have to do any trigonometry. Okay so that's nice! There's a whole bunch of details we need so I used Google extensively to find the radius of the Moon, the radius of the Earth, the radius of the orbit of the Moon around Earth, the mass of the Moon, the mass of the Earth, the angular velocity of the Moon which is one complete rotation every period of the Moon's orbit because what's strange about the Moon is that its rotation is locked due to tidal forces to its orbit around the Earth and so when the Moon does one revolution, it also done one rotation. So this angular velocity of the Moon's rotation is the same as the angular velocity of the Moon's orbit and so it completes one rotation, which is 2π radians, every 27.32 days and that's converted into per second here. So we have 2.662 times 10 to the minus 6 radians per second is the angular velocity of the Moon's rotation and orbit. The angular velocity of the Earth's rotation is a complete circle in 24 hours which is 7.272 times 10 to the minus 5 radians per second. So the total angular momentum then will be adding these three up as we talked about before and that's gonna be the moment of inertia of the Earth times its angular velocity plus the moment of inertia of the Moon times its angular velocity plus the moment of inertia of the Moon's orbit around the Earth multiplied by the angular velocity of that orbit. Okay! And then substituting in for moment's of inertia here for the Earth and for the Moon using the formula here for a sphere. So the Earth and the Moon both orbit about a diameter and so the formula is 2 times the mass times its radius squared over 5. Okay! And then the Moon we can consider as a point mass and so its moment of inertia in its orbit is the mass of the moon times the radius of its orbit squared. Okay! And then I plugged in numbers to calculate the total angular momentum initially. So we have 2 times the mass of the Earth times the Earth's radius squared over 5 times the angular velocity of the Earth's rotation plus 2 times the mass of the Moon times the radius of the Moon squared over 5 times the Moon's angular velocity of rotation plus the mass of the Moon again times its orbital radius squared times its angular velocity of its orbit which is the same as that of its rotation and this all works out to 3.65 times 10 to the 34 kilogram meters squared per second. Okay! Then we are told that suppose the Earth's rotational speed is reduced, what happens to the orbital radius of the Moon and we are going to assume that the period of the Moon stays constant in which case, the angular velocity of its orbit and the angular velocity of its rotation will both be constant in that case if we are assuming that its period is constant. But we'll say that the orbital radius can change as it would have to in order to maintain the same angular momentum because the angular momentum is conserved and so with a reduction in the Earth's angular momentum, there has to be a compensating increase in the angular momentum from the other two parts of the system be it the rotation of the Moon or the orbital angular momentum of the Moon and since we are assuming that the angular velocity of the Moon's rotation is constant that means the only place where this extra compensating angular momentum can come from in order to make up for the shortfall in the reduction in the Earth's rotational angular momentum is by increasing the angular momentum of the Moon's orbit which can only increase due to its increasing radius. And so already based on this thought process, we are concluding that the radius of the Moon's orbit has to go up, has to increase, and so we expect to see that at the end of our calculation. It's always good to have sort of an expectation in broad strokes of what your answer should be in order to check whether it's plausible or right or not. Okay! So just to save a bit of writing, I have rewritten this expression for the original total angular momentum substituting in ω m in place of ω o because the angular momentum of the orbit is the same as or sorry... angular velocity of the orbit is the same as the angular velocity of the Moon's rotation and then that becomes a common factor along with mass of the Moon that can be factored out from these two terms leaving us with this line here. And then L prime, the total angular momentum after the reduction in the Earth's angular velocity, is gonna be all of this with an ω E prime. These are things remaining constant... the Earth's mass and the Earth's radius are constant but the Earth's angular velocity will change and so the prime denotes a new value for it. Okay. And then all this other stuff stays constant as well; we said that let's presume that the angular velocity of the Moon stays constant but now there's a new orbital radius so it's r naught prime here instead of r naught. Okay! And suppose that the new angular velocity of the Earth is 90 percent of its original so 0.90 times ω E and then let's see what r naught prime will be. So we know that angular momentum is conserved meaning that L prime equals L and so we can equate this with this here so this equals that in other words. But to save a bit of writing because there's a lot here, I have taken this factor to the right hand side of the equality already and that's why there is this minus 2m Er E squaredω E prime over 5 because this term I subtracted from the left side already in my head and just put it on the right hand side. Okay and these other two terms come directly copied from here and here and then this term is what's ended up here on its own because this one was subtracted away on both sides. Alrighty! Then we have to solve for r naught prime and to do that, we'll divide both sides by m—mass of the moon—times ω m and so that's where this 1 over m mω m comes from and it's making a bracket around this entire right hand side here and this whole thing is copied here in this bracket. Okay and after doing that then we'll subtract this from both sides and that's where this comes from and then take the square root of both sides to solve for r naught prime. Alrighty! Then we plug in a whole bunch of numbers and this here is the difference between the rotational velocity of the Earth before and after and so before it's ω E and after it's 0.9ω E in which case you know this is 1 minus 0.9 times ω E in other words 0.1 times ω E and that's what this is. So I put 0.1 times the original angular velocity and that's this difference here in brackets. And all that's getting multiplied by 2 times the mass of the Earth times the Earth's radius squared over 5 and then over here, we have 1 over mass of the Moon times the original angular velocity of the Moon and then add to that— now we are talking about this term now... is all here— so we have mass of the Moon times angular velocity of the Moon times 2 times the Moon's radius squared over 5 plus the original orbital radius squared. And then continuing on... that closes this bracket here so we have now closed at this point this bracket is this bracket and this bracket is this bracket here so we have now done that and then we are gonna subtract this last term. So 2 times the radius of the Moon squared over 5. Because, you know, it's really messy to plug all of that into the calculator at once, I just turned this into a single number, I turned all of this into a single number here and not bothering with units anymore because all the units will be strange anyway and then turn all this into a single number here and then this is a single number here. and then take the square root of all that and you get 3.897 times 10 to the 8 meters. Now, is that number realistic? So well we should compare it to the original orbital radius and we'll find the percent change let's suppose and so we have 3.897 times 10 to the 8 meters orbital radius after reducing the Earth's angular velocity by 10 percent and then subtract from that the original orbital radius and then divide by the original orbital radius and then that gives us 1.22 percent. So that's an increase of 1.22 percent for the orbital radius given a 10 percent decrease in the angular velocity of rotation of the Earth and that is reasonable because well first of all, we expected an increase in order to add some angular momentum to the system to make up for the decrease in angular momentum from the Earth's rotation slowing down. And then we expect this increase here to be less than the decrease in the angular velocity just because this r is getting squared in all these expressions— we see r naught squared here— and so angular momentum depends... I mean it's not proportional to the square of r naught because there's a whole bunch of other terms here but but we can see that r naught is getting squared and so its influence is gonna be high whereas the angular velocity of the Earth is to the power of 1. Okay! So if you made it all this way, wow, give yourself pat on the back, good job and that was fun!