Solution video
OpenStax College Physics, Chapter 10, Problem 28 (Problems & Exercises)

Calculator Screenshots
Comments
How do you do the second part of the question, if the ball slides without rolling?
I’m also wondering about the second part of the question.
Thank you very much @alexgreen and @siadawn95 for pointing out this omission. I have added the solution to the final answer and included a screenshot.
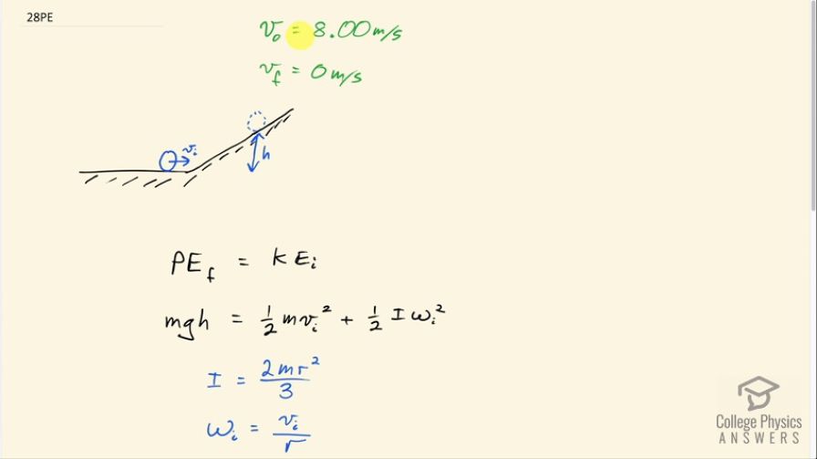
Pasted from the notes I added to the final answer: The maximum height reached in part (b) is less than that in part (a), which is expected since the ball doesn't have rotational kinetic energy initially. Only the translational kinetic energy gets converted into gravitational potential energy in part (b). The surface is assumed to be frictionless. In text form, the solution is . Solving for gives . The final answer for part (b) is 3.27 m.
I hope your studies are going well,
Shaun