Question
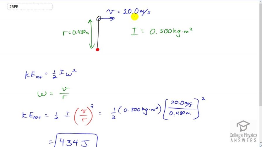
A baseball pitcher throws the ball in a motion where there is rotation of the forearm about the elbow joint as well as other movements. If the linear velocity of the ball relative to the elbow joint is 20.0 m/s at a distance of 0.480 m from the joint and the moment of inertia of the forearm is , what is the rotational kinetic energy of the forearm?
Final Answer
Solution video
OpenStax College Physics, Chapter 10, Problem 25 (Problems & Exercises)

vote with a rating of
votes with an average rating of
.
Calculator Screenshots
Video Transcript
This is College Physics Answers with Shaun Dychko. Here is the baseball player’s elbow and the ball he’s throwing is up here and the ball is moving at 20 meters per second we’re told, the length of the forearm is 0.48 meters and the moment of inertia of this arm and ball system is 0.5 kilograms-meters squared. So the question is, what is the rotational kinetic energy of this system, the forearm and ball system. That’s going to be one half times its moment of inertia times its angular velocity squared. An angular velocity is the linear velocity of some point divided by its distance to the axis of rotation. So we’re given the linear velocity of the ball and we’re given its distance to the axis of rotation and so that’ll work. So we plug in v over r in place of omega. And so we have kinetic energy of rotational speaking, is one half times I times v over r squared so that’s one half times 0.5 kilograms-meters squared times 20 meters per second divided by 0.48 meters squared, giving us 434 Joules.