Question
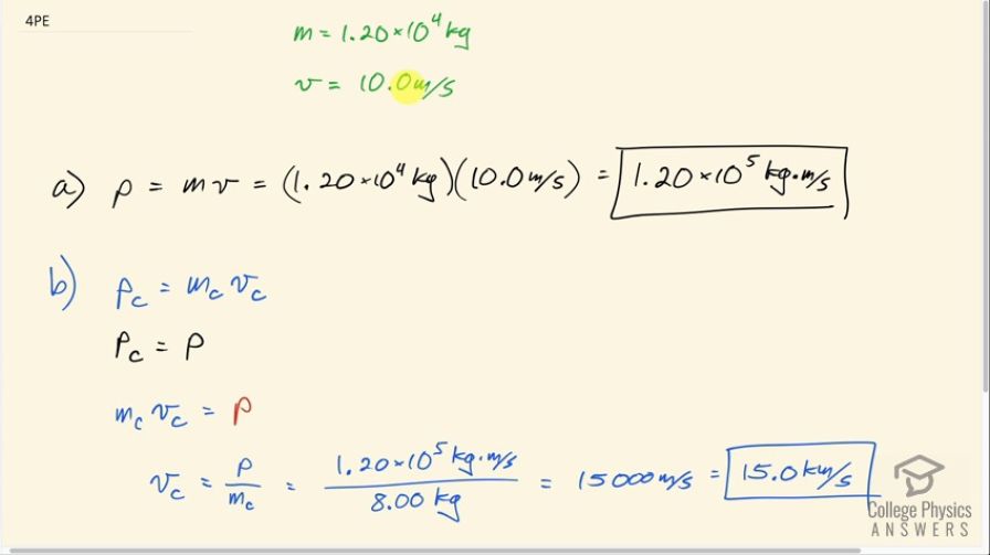
(a) What is the momentum of a garbage truck that is and is moving at 10.0 m/s ? (b) At what speed would an 8.00-kg trash can have the same momentum as the truck?
Final Answer
Solution video
OpenStax College Physics for AP® Courses, Chapter 8, Problem 4 (Problems & Exercises)

vote with a rating of
votes with an average rating of
.
Calculator Screenshots
Video Transcript
This is College Physics Answers with Shaun Dychko. A garbage truck with mass of 1.20 times 10 to the 4 kilograms is moving at a velocity of 10 meters per second and we are asked to find its momentum. So we multiply its mass by its velocity and we end up with 1.20 times 10 to the 5 kilogram meters per second. In part (b), we are asked about a trash can and I have got the letter 'c' to label things to pertain to the can and we have the momentum of the can then is the mass of the can times the velocity of the can and we are told that the momentum of the can should be the same as the momentum of the truck. So replacing P c with just P that I use up here and we'll divide both sides of this by the mass of the can and we end up with the speed of the can. And so it's gonna be the momentum of the truck divided by 8.00 kilograms which works out to 15.0 kilometers per second in order for the trash can to have the same momentum as the truck.