Question
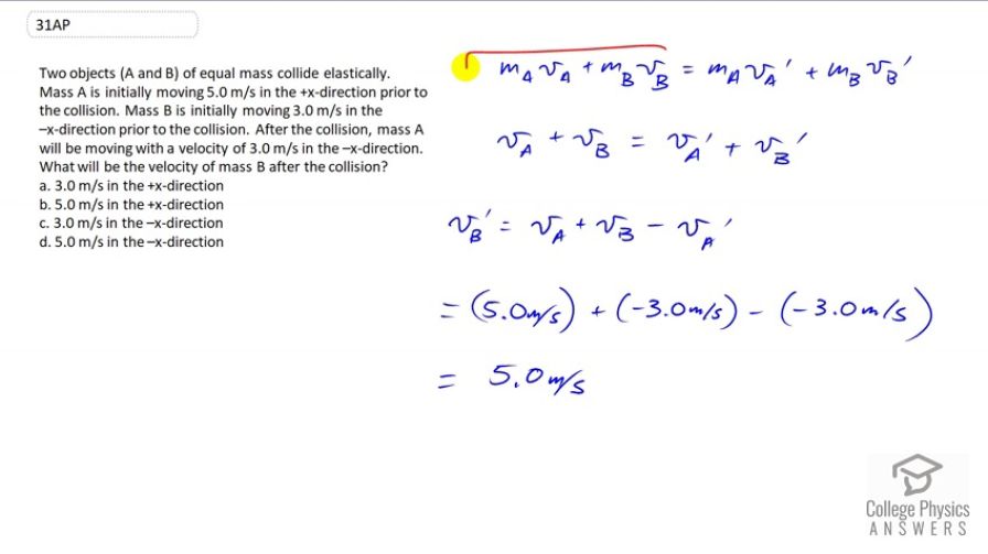
Two objects (A and B) of equal mass collide elastically. Mass A is initially moving 5.0 m/s in the +x-direction prior to the collision. Mass B is initially moving 3.0 m/s in the –x-direction prior to the collision. After the collision, mass A will be moving with a velocity of 3.0 m/s in the –x-direction. What will be the velocity of mass B after the collision?
- 3.0 m/s in the +x-direction
- 5.0 m/s in the +x-direction
- 3.0 m/s in the –x-direction
- 5.0 m/s in the –x-direction
Final Answer
(b)
Solution video
OpenStax College Physics for AP® Courses, Chapter 8, Problem 31 (Test Prep for AP® Courses)

vote with a rating of
votes with an average rating of
.
Video Transcript
This is College Physics Answers with Shaun Dychko. Conservation of momentum says that mass A times velocity A plus mass B times velocity B before the collision, this total has to be the same as the total momentum after the collision, mass A vA prime plus mB vB prime. We're told that the masses are all the same so mA and mB are common factors and we can divide everything by that common factor. So we end up with vA plus vB equals vA prime plus vB prime. We can solve this for vB prime by subtracting vA prime from both sides and then switching the sides around. So the velocity of the object B after collision will be velocity A plus velocity B both before the collision, minus velocity A after collision. So before collision mass A has a positive 5.0 meters per second velocity. Mass B is moving in the negative x direction so we put in negative three meters per second and then minus the velocity of mass A after the collision. We're told that it's moving at a velocity of three in the negative x direction. So we substitute negative three meters per second in place of vA prime. So we have a minus three here and this is a positive three in the end after the minus sign in the equation and the negative of a number and so these make zero and we're left just with five. That's positive five and so mass B will be moving in the positive x direction with a velocity of five meters per second after the collision