Question
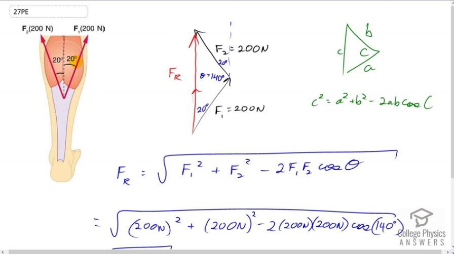
Two muscles in the back of the leg pull on the Achilles tendon as shown in Figure 9.38. What total force do they exert?
Final Answer
Solution video
OpenStax College Physics for AP® Courses, Chapter 9, Problem 27 (Problems & Exercises)

vote with a rating of
votes with an average rating of
.
Calculator Screenshots
Video Transcript
This is College Physics Answers with Shaun Dychko. We have two muscles pulling on Achilles tendon and we have force F1 of 200 newtons 20 degrees to the right of vertical and force two, also 200 newtons 20 degrees to the left of vertical. So because these forces are of equal magnitude and they are equal angles on opposite sides of the vertical, their horizontal components are going to cancel out, which means when we add them together and put them head to tail, it means that the resultant is going to be straight vertical, it will have no horizontal component. So that means we can draw the picture this way and figure out that this angle here between F1 and F2 is 140 degrees since this red arrow is going to be parallel to the vertical since we’ve established that there is no horizontal component to the resultant, that means these are interior opposite angles and this is 20 degrees based on the picture, F2 is 20 degrees to the left of the vertical, so 20 and 20 makes 40, and then the straight line angle of 180 minus the 40 gives 140 here. We can use the cosine law which says that the angle or the side leg c squared equals the other side a squared plus the third side b squared minus 2ab times cosine of the angle opposite side c, which is the angle enclosed between side a and b, and it’s labelled capital C here. So the resultant force is like side c, and so it’ll be the square root of F1 squared plus F2 squared, minus two times F1 times F2 times cos theta. And so that’s the square root of 200 squared plus 200 squared, minus two times 200 squared times cos 140, which is 376 newtons straight up.