Chapter 9

Chapter thumbnail
On a short time scale, rocks like these in Australia's Kings Canyon are static, or motionless relative to the Earth.

Chapter 9 : Statics and Torque - all with Video Solutions

Problems & Exercises

Section 9.2: The Second Condition for Equilibrium

Problem 1

(a) When opening a door, you push on it perpendicularly with a force of 55.0 N at a distance of 0.850m from the hinges. What torque are you exerting relative to the hinges? (b) Does it matter if you push at the same height as the hinges?

View solution

Problem 2

When tightening a bolt, you push perpendicularly on a wrench with a force of 165 N at a distance of 0.140 m from the center of the bolt. (a) How much torque are you exerting in newton × meters (relative to the center of the bolt)? (b) Convert this torque to footpounds.

View solution

Problem 3

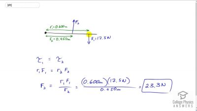
Two children push on opposite sides of a door during play. Both push horizontally and perpendicular to the door. One child pushes with a force of 17.5 N at a distance of 0.600 m from the hinges, and the second child pushes at a distance of 0.450 m. What force must the second child exert to keep the door from moving? Assume friction is negligible.

View solution

Problem 4

Use the second condition for equilibrium (τnet=0\tau_{\textrm{net}} = 0) to calculate FpF_p in Example 9.1, employing any data given or solved for in part (a) of the example.

View solution

Problem 5

Repeat the seesaw problem in Example 9.1 with the center of mass of the seesaw 0.160 m to the left of the pivot (on the side of the lighter child) and assuming a mass of 12.0 kg for the seesaw. The other data given in the example remain unchanged. Explicitly show how you follow the steps in the Problem-Solving Strategy for static equilibrium.

Example 9.1

The two children shown in Figure 9.10 are balanced on a seesaw of negligible mass. (This assumption is made to keep the example simple—more involved examples will follow.) The first child has a mass of 26.0 kg and sits 1.60 m from the pivot.(a) If the second child has a mass of 32.0 kg, how far is she from the pivot? (b) What is FpF_p, the supporting force exerted by the pivot?

View solution

Section 9.3: Stability

Problem 6

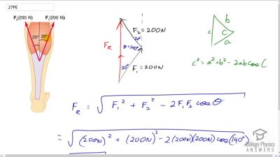
Suppose a horse leans against a wall as in Figure 9.30. Calculate the force exerted on the wall assuming that force is horizontal while using the data in the schematic representation of the situation. Note that the force exerted on the wall is equal in magnitude and opposite in direction to the force exerted on the horse, keeping it in equilibrium. The total mass of the horse and rider is 500 kg. Take the data to be accurate to three digits.

View solution

Problem 7

Two children of mass 20 kg and 30 kg sit balanced on a seesaw with the pivot point located at the center of the seesaw. If the children are separated by a distance of 3 m, at what distance from the pivot point is the small child sitting in order to maintain the balance?

View solution

Problem 8

(a) Calculate the magnitude and direction of the force on each foot of the horse in Figure 9.30 (two are on the ground), assuming the center of mass of the horse is midway between the feet. The total mass of the horse and rider is 500kg. (b) What is the minimum coefficient of friction between the hooves and ground? Note that the force exerted by the wall is horizontal.

View solution

Problem 9

A person carries a plank of wood 2 m long with one hand pushing down on it at one end with a force F1F_1 and the other hand holding it up at 50 cm from the end of the plank with force F2F_2. If the plank has a mass of 20 kg and its center of gravity is at the middle of the plank, what are the magnitudes of the forces F1F_1 and F2F_2 ?

View solution

Problem 10

A 17.0-m-high and 11.0-m-long wall under construction and its bracing are shown in Figure 9.31. The wall is in stable equilibrium without the bracing but can pivot at its base. Calculate the force exerted by each of the 10 braces if a strong wind exerts a horizontal force of 650 N on each square meter of the wall. Assume that the net force from the wind acts at a height halfway up the wall and that all braces exert equal forces parallel to their lengths. Neglect the thickness of the wall.

View solution

Problem 11

(a) What force must be exerted by the wind to support a 2.50-kg chicken in the position shown in Figure 9.34? (b) What is the ratio of this force to the chicken's weight? (c) Does this support the contention that the chicken has a relatively stable construction?

View solution

Problem 12

Suppose the weight of the drawbridge in Figure 9.33 is supported entirely by its hinges and the opposite shore, so that its cables are slack. The mass of the bridge is 2500 kg. (a) What fraction of the weight is supported by the opposite shore if the point of support is directly beneath the cable attachments? (b) What is the direction and magnitude of the force the hinges exert on the bridge under these circumstances?

View solution

Problem 13

Suppose a 900-kg car is on the bridge in Figure 9.35 with its center of mass halfway between the hinges and the cable attachments. (The bridge is supported by the cables and hinges only.) (a) Find the force in the cables. (b) Find the direction and magnitude of the force exerted by the hinges on the bridge.

View solution

Problem 14

A sandwich board advertising sign is constructed as shown in Figure 9.34. The sign’s mass is 8.00 kg. (a) Calculate the tension in the chain assuming no friction between the legs and the sidewalk. (b) What force is exerted by each side on the hinge?

View solution

Problem 15

(a) What minimum coefficient of friction is needed between the legs and the ground to keep the sign in Figure 9.36 in the position shown if the chain breaks? (b) What force is exerted by each side on the hinge?

View solution

Problem 16

A gymnast is attempting to perform splits. From the information given in Figure 9.35, calculate the magnitude and direction of the force exerted on each foot by the floor.

View solution

Section 9.4: Applications of Statics, Including Problem-Solving Strategies

Problem 17

To get up on the roof, a person (mass 70.0 kg) places a 6.00-m aluminum ladder (mass 10.0 kg) against the house on a concrete pad with the base of the ladder 2.00 m from the house. The ladder rests against a plastic rain gutter, which we can assume to be frictionless. The center of mass of the ladder is 2 m from the bottom. The person is standing 3 m from the bottom. What are the magnitudes of the forces on the ladder at the top and bottom?

View solution

Problem 18

In Figure 9.20, the cg of the pole held by the pole vaulter is 2.00 m from the left hand, and the hands are 0.700 m apart. Calculate the force exerted by (a) his right hand and (b) his left hand. (c) If each hand supports half the weight of the pole in Figure 9.18, show that the second condition for equilibrium (τnet\tau_{\textrm{net}}) is satisfied for a pivot other than the one located at the center of gravity of the pole. Explicitly show how you follow the steps in the Problem-Solving Strategy for static equilibrium described above.

View solution

Section 9.5: Simple Machines

Problem 19

What is the mechanical advantage of a nail puller—similar to the one shown in Figure 9.24 —where you exert a force 45 cm from the pivot and the nail is 1.8 cm on the other side? What minimum force must you exert to apply a force of 1250 N to the nail?

View solution

Problem 20

Suppose you needed to raise a 250-kg mower a distance of 6.0 cm above the ground to change a tire. If you had a 2.0-m long lever, where would you place the fulcrum if your force was limited to 300 N?

View solution

Problem 21

a) What is the mechanical advantage of a wheelbarrow, such as the one in Figure 9.25, if the center of gravity of the wheelbarrow and its load has a perpendicular lever arm of 5.50 cm, while the hands have a perpendicular lever arm of 1.02 m? (b) What upward force should you exert to support the wheelbarrow and its load if their combined mass is 55.0 kg? (c) What force does the wheel exert on the ground?

View solution

Problem 22

A typical car has an axle with 1.10 cm radius driving a tire with a radius of 27.5 cm . What is its mechanical advantage assuming the very simplified model in Figure 9.24(b)?

View solution

Problem 23

What force does the nail puller in Exercise 9.19 exert on the supporting surface? The nail puller has a mass of 2.10 kg.

Exercise 9.19

What is the mechanical advantage of a nail puller—similar to the one shown in Figure 9.24 —where you exert a force 45 cm from the pivot and the nail is 1.8 cm on the other side? What minimum force must you exert to apply a force of 1250 N to the nail?

View solution

Problem 24

If you used an ideal pulley of the type shown in Figure 9.25(a) to support a car engine of mass 115 kg , (a) What would be the tension in the rope? (b) What force must the ceiling supply, assuming you pull straight down on the rope? Neglect the pulley system’s mass.

View solution

Problem 25

Repeat Exercise 9.24 for the pulley shown in Figure 9.27(c), assuming you pull straight up on the rope. The pulley system's mass is 7.00 kg.

Exercise 9.24

If you used an ideal pulley of the type shown in Figure 9.27(a) to support a car engine of mass 115 kg, (a) What would be the tension in the rope? (b) What force must the ceiling supply, assuming you pull straight down on the rope?

View solution

Section 9.6: Forces and Torques in Muscles and Joints

Problem 28

The upper leg muscle (quadriceps) exerts a force of 1250 N, which is carried by a tendon over the kneecap (the patella) at the angles shown in Figure 9.37. Find the direction and magnitude of the force exerted by the kneecap on the upper leg bone (the femur).

View solution

Problem 29

A device for exercising the upper leg muscle is shown in Figure 9.40, together with a schematic representation of an equivalent lever system. Calculate the force exerted by the upper leg muscle to lift the mass at a constant speed. Explicitly show how you follow the steps in the Problem- Solving Strategy for static equilibrium in Applications of Statistics, Including Problem-Solving Strategies.

View solution

Problem 30

A person working at a drafting board may hold her head as shown in Figure 9.39, requiring muscle action to support the head. The three major acting forces are shown. Calculate the direction and magnitude of the force supplied by the upper vertebrae FVF_\textrm{V} to hold the head stationary, assuming that this force acts along a line through the center of mass as do the weight and muscle force.

View solution

Problem 31

We analyzed the biceps muscle example with the angle between forearm and upper arm set at 9090^\circ. Using the same numbers as in Example 9.4, find the force exerted by the biceps muscle when the angle is 120120^\circ and the forearm is in a downward position.

View solution

Problem 32

Even when the head is held erect, as in Figure 9.40, its center of mass is not directly over the principal point of support (the atlanto-occipital joint). The muscles at the back of the neck should therefore exert a force to keep the head erect. That is why your head falls forward when you fall asleep in the class. (a) Calculate the force exerted by these muscles using the information in the figure. (b) What is the force exerted by the pivot on the head?

View solution

Problem 33

A 75-kg man stands on his toes by exerting an upward force through the Achilles tendon, as in Figure 9.43. (a) What is the force in the Achilles tendon if he stands on one foot? (b) Calculate the force at the pivot of the simplified lever system shown—that force is representative of forces in the ankle joint.

View solution

Problem 34

A father lifts his child as shown in Figure 9.42. What force should the upper leg muscle exert to lift the child at a constant speed?

View solution

Problem 35

Unlike most of the other muscles in our bodies, the masseter muscle in the jaw, as illustrated in Figure 9.45, is attached relatively far from the joint, enabling large forces to be exerted by the back teeth. (a) Using the information in the figure, calculate the force exerted by the lower teeth on the bullet. (b) Calculate the force on the joint.

View solution

Problem 36

Suppose we replace the 4.0-kg book in Exercise 9.31 of the biceps muscle with an elastic exercise rope that obeys Hooke’s Law. Assume its force constant k=600 N/mk = 600 \textrm{ N/m}. (a) How much is the rope stretched (past equilibrium) to provide the same force FBF_B as in this example? Assume the rope is held in the hand at the same location as the book. (b) What force is on the biceps muscle if the exercise rope is pulled straight up so that the forearm makes an angle of 2525^\circ with the horizontal? Assume the biceps muscle is still perpendicular to the forearm.

View solution

Problem 37

(a) What force should the woman in Figure 9.46 exert on the floor with each hand to do a push-up? Assume that she moves up at a constant speed. (b) The triceps muscle at the back of her upper arm has an effective lever arm of 1.75 cm, and she exerts force on the floor at a horizontal distance of 20.0 cm from the elbow joint. Calculate the magnitude of the force in each triceps muscle, and compare it to her weight. (c) How much work does she do if her center of mass rises 0.240 m? (d) What is her useful power output if she does 25 pushups in one minute?

View solution

Problem 38

You have just planted a sturdy 2-m-tall palm tree in your front lawn for your mother’s birthday. Your brother kicks a 500 g ball, which hits the top of the tree at a speed of 5 m/s and stays in contact with it for 10 ms. The ball falls to the ground near the base of the tree and the recoil of the tree is minimal. (a) What is the force on the tree? (b) The length of the sturdy section of the root is only 20 cm. Furthermore, the soil around the roots is loose and we can assume that an effective force is applied at the tip of the 20 cm length. What is the effective force exerted by the end of the tip of the root to keep the tree from toppling? Assume the tree will be uprooted rather than bend. (c) What could you have done to ensure that the tree does not uproot easily?

View solution

Problem 39

Suppose two children are using a uniform seesaw that is 3.00 m long and has its center of mass over the pivot. The first child has a mass of 30.0 kg and sits 1.40 m from the pivot. (a) Calculate where the second 18.0 kg child must sit to balance the seesaw. (b) What is unreasonable about the result? (c) Which premise is unreasonable, or which premises are inconsistent?

View solution

Test Prep for AP® Courses

Section 9.2: The Second Condition for Equilibrium

Problem 1 (AP)

Which of the following is not an example of an object undergoing a torque?
  • A car is rounding a bend at a constant speed.
  • A merry-go-round increases from rest to a constant rotational speed.
  • A pendulum swings back and forth.
  • A bowling ball rolls down a bowling alley.

View solution

Problem 2 (AP)

Five forces of equal magnitude, labeled A–E, are applied to the object shown below. If the object is anchored at point P, which force will provide the greatest torque?
  1. Force A
  2. Force B
  3. Force C
  4. Force D
  5. Force E

View solution

Section 9.3: Stability

Problem 3 (AP)

Using the concept of torque, explain why a traffic cone placed on its base is in stable equilibrium, while a traffic cone placed on its tip is in unstable equilibrium.

View solution

Section 9.4: Applications of Statics, Including Problem-Solving Strategies

Problem 4 (AP)

A child sits on the end of a playground see-saw. Which of the following values is the most appropriate estimate of the torque created by the child?
  1. 6 Nm6 \textrm{ N}\cdot\textrm{m}
  2. 60 Nm60 \textrm{ N}\cdot\textrm{m}
  3. 600 Nm600 \textrm{ N}\cdot\textrm{m}
  4. 6000 Nm6000 \textrm{ N}\cdot\textrm{m}

View solution

Problem 5 (AP)

A group of students is stacking a set of identical books, each one overhanging the one below it by 1 inch. They would like to estimate how many books they could place on top of each other before the stack tipped. What information below would they need to know to make this calculation?
  • The mass of each book
  • The width of each book
  • The depth of each book
  • I only
  • I and II only
  • I and III only
  • II only
  • I, II, and III

View solution

Problem 6 (AP)

A 10 N board of uniform density is 5 meters long. It is supported on the left by a string bearing a 3 N upward force. In order to prevent the string from breaking, a person must place an upward force of 7 N at a position along the bottom surface of the board. At what distance from its left edge would they need to place this force in order for the board to be in static equilibrium?
  1. 37 m\dfrac{3}{7}\textrm{ m}
  2. 52 m\dfrac{5}{2}\textrm{ m}
  3. 257 m\dfrac{25}{7}\textrm{ m}
  4. 307 m\dfrac{30}{7}\textrm{ m}
  5. 5 m5 \textrm{ m}

View solution

Problem 7 (AP)

A bridge is supported by two piers located 20 meters apart. Both the left and right piers provide an upward force on the bridge, labeled FL and FR respectively.
  • If a 1000 kg car comes to rest at a point 5 meters from the left pier, how much force will the bridge provide to the left and right piers?
  • How will FL and FR change as the car drives to the right side of the bridge?

View solution

Problem 8 (AP)

An object of unknown mass is provided to a student. Without using a scale, design an experimental procedure detailing how the magnitude of this mass could be experimentally found. Your explanation must include the concept of torque and all steps should be provided in an orderly sequence. You may include a labeled diagram of your setup to help in your description. Include enough detail so that another student could carry out your procedure.

View solution

Section 9.5: Simple Machines

Problem 9 (AP)

As a young student, you likely learned that simple machines are capable of increasing the ability to lift and move objects. Now, as an educated AP Physics student, you are aware that this capability is governed by the relationship between force and torque. In the space below, explain why torque is integral to the increase in force created by a simple machine. You may use an example or diagram to assist in your explanation. Be sure to cite the mechanical advantage in your explanation as well.

View solution

Problem 10 (AP)

Figure 9.24(a) shows a wheelbarrow being lifted by an applied force Fi. If the wheelbarrow is filled with twenty bricks massing 3 kg each, estimate the value of the applied force Fi. Provide an explanation behind the total weight w and any reasoning toward your final answer. Additionally, provide a range of values over which you feel the force could exist.

View solution

Section 9.6: Forces and Torques in Muscles and Joints

Problem 11 (AP)

When you use your hand to raise a 20 lb dumbbell in a curling motion, the force on your bicep muscle is not equal to 20 lb.
  • Compare the size of the force placed on your bicep muscle to the force of the 20 lb dumbbell lifted by your hand. Using the concept of torque, which force is greater and explain why the two forces are not identical.
  • Does the force placed on your bicep muscle change as you curl the weight closer toward your body? (In other words, is the force on your muscle different when your forearm is 90° to your upper arm than when it is 45° to your upper arm?) Explain your answer using torque.

View solution