Question
Repeat Exercise 3.16 using analytical techniques, but reverse the order of the two legs of the walk and show that you get the same final result. (This problem shows that adding them in reverse order gives the same result—that is, B + A = A + B.) Discuss how taking another path to reach the same point might help to overcome an obstacle blocking your other path.
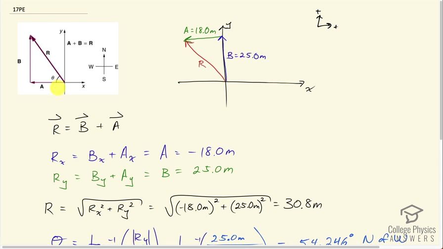
Exercise 3.16: Suppose you walk 18.0 m straight west and then 25.0 m straight north. How far are you from your starting point, and what is the compass direction of a line connecting your starting point to your final position? (If you represent the two legs of the walk as vector displacements A and B, as in Figure 3.60, then this problem asks you to find their sum R = A + B.)
Final Answer
Solution video
OpenStax College Physics for AP® Courses, Chapter 3, Problem 17 (Problems & Exercises)

vote with a rating of
votes with an average rating of
.
Calculator Screenshots
Video Transcript
This is College Physics Answers with Shaun Dychko. In question (17), we are going to repeat question (16) with a couple of changes. In (16), we were adding these vectors A and B using a graphical method by plotting these arrows here and then drawing a line from the origin to the tip of the final vector and that would be our resultant here and in this question, we are going to use analytical method instead of the graphical method; we are still going to draw a picture though so we can understand what we are doing but we are going to use trigonometry. And we are also going to make a change where the person is imagined to walk along path B first and then path A second and we will confirm that we end up at the same final position regardless of the order in which these paths are traversed, which is another way of saying that vector A plus vector B is the same as vector B first plus vector A so the order of addition does not matter... we are going to show that. So the resultant is the sum of vectors B and A and the x component of the resultant will be the x component of vector B plus the x component of vector A but the x component is straightforward in this question because vector B has no x component whereas vector A is entirely in the x direction and so the x component of vector R— the resultant—will be vector A and that is negative 18.0 meters and the negative sign indicates that this component is to the left because we have taken a conventional coordinate system here where to the right is positive and up is positive. Okay! The y component of the resultant is the y component of vector B plus the y component of vector A but A has no y component whereas vector B is entirely in the y direction and so the y component of the resultant is vector B and that's positive 25.0 meters. So these components are at right angles to each other and so we can use the Pythagorean theorem to find the length of this resultant and so we will take the sum of the squares of each leg of this triangle and then take the square root of that sum. So we have a square root of negative 18.0 meters squared plus 25.0 meters squared and that is 30.8 meters. Then we need to find the direction of this resultant and usually with tangent or inverse tangent, we want to take the inverse tangent of a vertical component divided by a horizontal component. So let's do that! So we have this horizontal component of the resultant is along here and the vertical component of the resultant is along here and if we want to find this angle θ, which is the angle north of west... here are our cardinal directions— north, east, south and west— we'll take the inverse tangent of the size of the y component of the resultant divided by the size of the x component of the resultant. And when I say size of, I am referring to these absolute value signs and that means we are just concerned with the magnitude of these components so we are going to ignore the signs because the signs are just there to tell us direction but we can see the direction from our picture and so we don't need to concern ourselves with the signs because the direction is clear that it is an angle north of west. Okay! So we are taking the inverse tangent of 25.0 meters because that's the y component divided by 18.0 meters since that's the magnitude of the x component and this works out to 54.246 degrees north of west. So our final answer is that the resultant is 30.8 meters, 54.2 degrees N of W—north of west.