Chapter 3

Chapter thumbnail
The Dragon Khan in Spain's Universal Port Aventura Amusement Park.

Chapter 3 : Two-Dimensional Kinematics - all with Video Solutions

Problems & Exercises

Section 3.2: Vector Addition and Subtraction: Graphical Methods

Problem 1

Find the following for path A in Figure 3.54: (a) the total distance traveled, and (b) the magnitude and direction of the displacement from start to finish.

In Figure 3.54 the various lines represent paths taken by different people walking in a city. All blocks are 120 m on a side.

View solution

Problem 2

Find the following for path B in Figure 3.54: (a) the total distance traveled, and (b) the magnitude and direction of the displacement from start to finish.

View solution

Problem 4

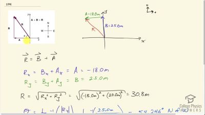
Suppose you walk 18.0 m straight west and then 25.0 m straight north. How far are you from your starting point, and what is the compass direction of a line connecting your starting point to your final position? (If you represent the two legs of the walk as vector displacements A\vec{A} and B\vec{B} , as in Figure 3.55, then this problem asks you to find their sum R=A+B\vec{R} = \vec{A} + \vec{B} .)

View solution

Problem 5

Suppose you first walk 12.0 m in a direction west of north and then 20.0 m in a direction 40.040.0^\circ south of west. How far are you from your starting point, and what is the compass direction of a line connecting your starting point to your final position? (If you represent the two legs of the walk as vector displacements A and B , as in Figure 3.56, then this problem finds their sum R = A + B.)

View solution

Problem 6

Repeat the problem above, but reverse the order of the two legs of the walk; show that you get the same final result. That is, you first walk leg B\vec{B} , which is 20.0 m in a direction exactly 4040^\circ south of west, and then leg A\vec{A}, which is 12.0 m in a direction exactly 2020^\circ west of north. (This problem shows that A+B=B+A\vec{A} + \vec{B} = \vec{B} + \vec{A} .)

View solution

Problem 7

(a) Repeat the problem two problems prior, but for the second leg you walk 20.0 m in a direction 40.040.0^\circ north of east (which is equivalent to subtracting B from A — that is, to finding R' = A - B).

(b) Repeat the problem two problems prior, but now you first walk 20.0 m in a direction 40.040.0^\circ south of west and then 12.0 m in a direction 20.020.0^\circ east of south (which is equivalent to subtracting A from B — that is, to finding R'' = B - A = - R'). Show that this is the case.

View solution

Problem 8

Show that the order of addition of three vectors does not affect their sum. Show this property by choosing any three vectors A\vec{A} , B\vec{B} , and C\vec{C} , all having different lengths and directions. Find the sum A+B+C\vec{A} + \vec{B} + \vec{C} then find their sum when added in a different order and show the result is the same. (There are five other orders in which A\vec{A} , B\vec{B} , and C\vec{C} can be added; choose only one.)

View solution

Problem 9

Show that the sum of the vectors discussed in Example 3.2 gives the result shown in Figure 3.24.

Example 3.2: A woman sailing a boat at night is following directions to a dock. The instructions read to first sail 27.5 m in a direction 66.066.0^\circ north of east from her current location, and then travel 30.0 m in a direction 112112^\circ north of east (or 22.022.0^\circ west of north). Find the location of the dock.

View solution

Problem 12

Find the components of vtotv_{tot} along a set of perpendicular axes rotated 3030^\circ counterclockwise relative to those in Figure 3.57.

View solution

Section 3.3: Vector Addition and Subtraction: Analytical Methods

Problem 13

Find the following for path C in Figure 3.58: (a) the total distance traveled and (b) the magnitude and direction of the displacement from start to finish. In this part of the problem, explicitly show how you follow the steps of the analytical method of vector addition.

View solution

Problem 14

Find the following for path D in Figure 3.58: (a) the total distance traveled and (b) the magnitude and direction of the displacement from start to finish. In this part of the problem, explicitly show how you follow the steps of the analytical method of vector addition.

View solution

Problem 16

Solve the following problem using analytical techniques: Suppose you walk 18.0 m straight west and then 25.0 m straight north. How far are you from your starting point, and what is the compass direction of a line connecting your starting point to your final position? (If you represent the two legs of the walk as vector displacements A\vec{A} and B\vec{B} , as in Figure 3.60, then this problem asks you to find their sum R=A+B\vec{R} = \vec{A} + \vec{B}.)

View solution

Problem 17

Repeat Exercise 3.16 using analytical techniques, but reverse the order of the two legs of the walk and show that you get the same final result. (This problem shows that adding them in reverse order gives the same result—that is, B + A = A + B.) Discuss how taking another path to reach the same point might help to overcome an obstacle blocking your other path.

Exercise 3.16: Suppose you walk 18.0 m straight west and then 25.0 m straight north. How far are you from your starting point, and what is the compass direction of a line connecting your starting point to your final position? (If you represent the two legs of the walk as vector displacements A and B, as in Figure 3.60, then this problem asks you to find their sum R = A + B.)

View solution

Problem 18

You drive 7.50 km in a straight line in a direction 1515^\circ east of north. (a) Find the distances you would have to drive straight east and then straight north to arrive at the same point. (This determination is equivalent to find the components of the displacement along the east and north directions.) (b) Show that you still arrive at the same point if the east and north legs are reversed in order.

View solution

Problem 19

Do Exercise 3.16 again using analytical techniques and change the second leg of the walk to straight south. (This is equivalent to subtracting B from A—that is, finding R' = A - B) (b) Repeat again, but now you first walk 25.0 m north and then 18.0 m east. (This is equivalent to subtract A from B — that is, to find R'' = B - A. Is that consistent with your result?)

View solution

Problem 20

A new landowner has a triangular piece of flat land she wishes to fence. Starting at the west corner, she measures the first side to be 80.0 m long and the next to be 105 m. These sides are represented as displacement vectors A from B in Figure 3.61. She then correctly calculates the length and orientation of the third side C . What is her result?

View solution

Problem 21

You fly 32.0 km in a straight line in still air in the direction 35.035.0^\circ south of west. (a) Find the distances you would have to fly straight south and then straight west to arrive at the same point. (This determination is equivalent to finding the components of the displacement along the south and west directions.) (b) Find the distances you would have to fly first in a direction 45.045.0^\circ south of west and then in a direction 45.045.0^\circ west of north. These are the components of the displacement along a different set of axes—one rotated 4545^\circ.

View solution

Problem 22

A farmer wants to fence off his four-sided plot of flat land. He measures the first three sides, shown as A\vec{A}, B\vec{B}, and C\vec{C} in Figure 3.62, and then correctly calculates the length and orientation of the fourth side D\vec{D} . What is his result?

View solution

Problem 23

In an attempt to escape his island, Gilligan builds a raft and sets to sea. The wind shifts a great deal during the day, and he is blown along the following straight lines: 2.50 km 45.045.0^\circ north of west; then 4.70 km 60.060.0^\circ south of east; then 1.30 km 25.025.0^\circ south of west; then 5.10 km straight east; then 1.70 km 5.005.00^\circ east of north; then 7.20 km 55.055.0^\circ south of west; and finally 2.80 km 10.010.0^\circ north of east. What is his final position relative to the island?

View solution

Problem 24

Suppose a pilot flies 40.0 km in a direction 6060^\circ north of east and then flies 30.0 km in a direction 1515^\circ north of east as shown in Figure 3.63. Find her total distance R\vec{R} from the starting point and the direction θ\theta of the straight-line path to the final position. Discuss qualitatively how this flight would be altered by a wind from the north and how the effect of the wind would depend on both wind speed and the speed of the plane relative to the air mass.

View solution

Section 3.4: Projectile Motion

Problem 25

A projectile is launched at ground level with an initial speed of 50.0 m/s at an angle of 30.030.0^\circ above the horizontal. It strikes a target above the ground 3.00 seconds later. What are the x and distances from where the projectile was launched to where it lands?

View solution

Problem 26

A ball is kicked with an initial velocity of 16 m/s in the horizontal direction and 12 m/s in the vertical direction. (a) At what speed does the ball hit the ground? (b) For how long does the ball remain in the air? (c)What maximum height is attained by the ball?

View solution

Problem 27

A ball is thrown horizontally from the top of a 60.0-m building and lands 100.0 m from the base of the building. Ignore air resistance. (a) How long is the ball in the air? (b) What must have been the initial horizontal component of the velocity? (c) What is the vertical component of the velocity just before the ball hits the ground? (d) What is the velocity (including both the horizontal and vertical components) of the ball just before it hits the ground?

View solution

Problem 28

(a) A daredevil is attempting to jump his motorcycle over a line of buses parked end to end by driving up a 3232^\circ ramp at a speed of 40.0 m/s (144 km/h) . How many buses can he clear if the top of the takeoff ramp is at the same height as the bus tops and the buses are 20.0 m long? (b) Discuss what your answer implies about the margin of error in this act—that is, consider how much greater the range is than the horizontal distance he must travel to miss the end of the last bus. (Neglect air resistance.)

View solution

Problem 29

An archer shoots an arrow at a 75.0 m distant target; the bull's-eye of the target is at same height as the release height of the arrow. (a) At what angle must the arrow be released to hit the bull's-eye if its initial speed is 35.0 m/s? In this part of the problem, explicitly show how you follow the steps involved in solving projectile motion problems. (b) There is a large tree halfway between the archer and the target with an overhanging horizontal branch 3.50 m above the release height of the arrow. Will the arrow go over or under the branch?

View solution

Problem 30

A rugby player passes the ball 7.00 m across the field, where it is caught at the same height as it left his hand. (a) At what angle was the ball thrown if its initial speed was 12.0 m/ s, assuming that the smaller of the two possible angles was used? (b) What other angle gives the same range, and why would it not be used? (c) How long did this pass take?

View solution

Problem 33

The cannon on a battleship can fire a shell a maximum distance of 32.0 km. (a) Calculate the initial velocity of the shell. (b) What maximum height does it reach? (At its highest, the shell is above 60% of the atmosphere—but air resistance is not really negligible as assumed to make this problem easier.) (c) The ocean is not flat, because the Earth is curved. Assume that the radius of the Earth is 6.37×103 km6.37 \times 10^3 \textrm{ km}. How many meters lower will its surface be 32.0 km from the ship along a horizontal line parallel to the surface at the ship? Does your answer imply that error introduced by the assumption of a flat Earth in projectile motion is significant here?

View solution

Problem 34

An arrow is shot from a height of 1.5 m toward a cliff of height HH. It is shot with a velocity of 30 m/s at an angle of 6060^\circ above the horizontal. It lands on the top edge of the cliff 4.0 s later. (a) What is the height of the cliff? (b) What is the maximum height reached by the arrow along its trajectory? (c) What is the arrow's impact speed just before hitting the cliff?

View solution

Problem 35

In the standing broad jump, one squats and then pushes off with the legs to see how far one can jump. Suppose the extension of the legs from the crouch position is 0.600 m and the acceleration achieved from this position is 1.25 times the acceleration due to gravity, gg . How far can they jump? State your assumptions. (Increased range can be achieved by swinging the arms in the direction of the jump.)

View solution

Problem 36

The world long jump record is 8.95 m (Mike Powell, USA, 1991). Treated as a projectile, what is the maximum range obtainable by a person if he has a take-off speed of 9.5 m/s? State your assumptions.

View solution

Problem 37

Serving at a speed of 170 km/h, a tennis player hits the ball at a height of 2.5 m and an angle θ\theta below the horizontal. The baseline from which the ball is served is 11.9 m from the net, which is 0.91 m high. What is the angle θ\theta such that the ball just crosses the net? Will the ball land in the service box, which has an outermost service line that is 6.40 m from the net?

View solution

Problem 38

A football quarterback is moving straight backward at a speed of 2.00 m/s when he throws a pass to a player 18.0 m straight downfield. (a) If the ball is thrown at an angle of 2525^\circ relative to the ground and is caught at the same height as it is released, what is its initial speed relative to the ground? (b) How long does it take to get to the receiver? (c) What is its maximum height above its point of release?

View solution

Problem 39

Gun sights are adjusted to aim high to compensate for the effect of gravity, effectively making the gun accurate only for a specific range. (a) If a gun is sighted to hit targets that are at the same height as the gun and 100.0 m away, how low will the bullet hit if aimed directly at a target 150.0 m away? The muzzle velocity of the bullet is 275 m/s. (b) Discuss qualitatively how a larger muzzle velocity would affect this problem and what would be the effect of air resistance.

View solution

Problem 40

An eagle is flying horizontally at a speed of 3.00 m/s when the fish in her talons wiggles loose and falls into the lake 5.00 m below. Calculate the velocity of the fish relative to the water when it hits the water.

View solution

Problem 41

An owl is carrying a mouse to the chicks in its nest. Its position at that time is 4.00 m west and 12.0 m above the center of the 30.0 cm diameter nest. The owl is flying east at 3.50 m/s at an angle 30.030.0^\circ below the horizontal when it accidentally drops the mouse. Is the owl lucky enough to have the mouse hit the nest? To answer this question, calculate the horizontal position of the mouse when it has fallen 12.0 m.

View solution

Problem 42

Suppose a soccer player kicks the ball from a distance 30 m toward the goal. Find the initial speed of the ball if it just passes over the goal, 2.4 m above the ground, given the initial direction to be 4040^\circ above the horizontal.

View solution

Problem 43

Can a goalkeeper at her/ his goal kick a soccer ball into the opponent's goal without the ball touching the ground? The distance will be about 95 m. A goalkeeper can give the ball a speed of 30 m/s.

View solution

Problem 44

The free throw line in basketball is 4.57 m (15 ft) from the basket, which is 3.05 m (10 ft) above the floor. A player standing on the free throw line throws the ball with an initial speed of 8.15 m/s, releasing it at a height of 2.44 m (8 ft) above the floor. At what angle above the horizontal must the ball be thrown to exactly hit the basket? Note that most players will use a large initial angle rather than a flat shot because it allows for a larger margin of error. Explicitly show how you follow the steps involved in solving projectile motion problems.

View solution

Problem 45

In 2007, Michael Carter (U.S.) set a world record in the shot put with a throw of 24.77 m. What was the initial speed of the shot if he released it at a height of 2.10 m and threw it at an angle of 38.038.0^\circ above the horizontal? (Although the maximum distance for a projectile on level ground is achieved at 4545^\circwhen air resistance is neglected, the actual angle to achieve maximum range is smaller [when air resistance occurs]; thus, 3838^\circ will give a longer range in the shot put.)

View solution

Problem 46

A basketball player is running at 5.00 m/s directly toward the basket when he jumps into the air to dunk the ball. He maintains his horizontal velocity. (a) What vertical velocity does he need to rise 0.750 m above the floor? (b) How far from the basket (measured in the horizontal direction) must he start his jump to reach his maximum height at the same time as he reaches the basket?

View solution

Problem 47

A football player punts the ball at a 45.045.0^\circ angle. Without an effect from the wind, the ball would travel 60.0 m horizontally. (a) What is the initial speed of the ball? (b) When the ball is near its maximum height it experiences a brief gust of wind that reduces its horizontal velocity by 1.50 m/s. What distance does the ball travel horizontally?

View solution

Problem 48

Prove that the trajectory of a projectile is parabolic, having the form y=ax+bx2y = ax + bx^2. To obtain this expression, solve the equation x=voxtx = v_{ox}t for tt and substitute it into the expressions for y=voyt12gt2y = v_{oy}t - \dfrac{1}{2}gt^2 (These equations describe the xx and yy positions of a projectile that starts at the origin.) You should obtain an equation of the form y=ax+bx2y = ax + bx^2 where aa and bb are constants.

View solution

Problem 49

Derive R=vo2sin2θogR = \dfrac{v_o^2 \sin 2\theta_o}{g} for the range of a projectile on level ground by finding the time tt at which yy becomes zero and substituting this value of tt into the expression for xxox - x_o, noting that R=xxoR = x - x_o.

View solution

Problem 50

Unreasonable Results (a) Find the maximum range of a super cannon that has a muzzle velocity of 4.0 km/s. (b) What is unreasonable about the range you found? (c) Is the premise unreasonable or is the available equation inapplicable? Explain your answer. (d) If such a muzzle velocity could be obtained, discuss the effects of air resistance, thinning air with altitude, and the curvature of the Earth on the range of the super cannon.

View solution

Section 3.5: Addition of Velocities

Problem 52

Bryan Allen pedaled a human-powered aircraft across the English Channel from the cliffs of Dover to Cap Gris-Nez on June 12, 1979. (a) He flew for 169 min at an average velocity of 3.53 m/s in a direction 4545^\circ south of east. What was his total displacement? (b) Allen encountered a headwind averaging 2.00 m/s almost precisely in the opposite direction of his motion relative to the Earth. What was his average velocity relative to the air? (c) What was his total displacement relative to the air mass?

View solution

Problem 53

A seagull flies at a velocity of 9.00 m/s straight into the wind. (a) If it takes the bird 20.0 min to travel 6.00 km relative to the Earth, what is the velocity of the wind? (b) If the bird turns around and flies with the wind, how long will he take to return 6.00 km? (c) Discuss how the wind affects the total round-trip time compared to what it would be with no wind.

View solution

Problem 54

Near the end of a marathon race, the first two runners are separated by a distance of 45.0 m. The front runner has a velocity of 3.50 m/s, and the second a velocity of 4.20 m/s. (a) What is the velocity of the second runner relative to the first? (b) If the front runner is 250 m from the finish line, who will win the race, assuming they run at constant velocity? (c) What distance ahead will the winner be when she crosses the finish line?

View solution

Problem 55

Verify that the coin dropped by the airline passenger in the Example 3.8 travels 144 m horizontally while falling 1.50 m in the frame of reference of the Earth.

View solution

Problem 56

A football quarterback is moving straight backward at a speed of 2.00 m/s when he throws a pass to a player 18.0 m straight downfield. The ball is thrown at an angle of 25.025.0^\circ relative to the ground and is caught at the same height as it is released. What is the initial velocity of the ball relative to the quarterback?

View solution

Problem 57

A ship sets sail from Rotterdam, The Netherlands, heading due north at 7.00 m/s relative to the water. The local ocean current is 1.50 m/s in a direction 40.040.0^\circ  north of east. What is the velocity of the ship relative to the Earth?

View solution

Problem 58

(a) A jet airplane flying from Darwin, Australia, has an air speed of 260 m/s in a direction 5.05.0^\circ south of west. It is in the jet stream, which is blowing at 35.0 m/s in a direction 1515^\circ south of east. What is the velocity of the airplane relative to the Earth? (b) Discuss whether your answers are consistent with your expectations for the effect of the wind on the plane's path.

View solution

Problem 59

(a) In what direction would the ship in Exercise 3.57 have to travel in order to have a velocity straight north relative to the Earth, assuming its speed relative to the water remains 7.00 m/s? (b) What would its speed be relative to the Earth?

View solution

Problem 60

(a) Another airplane is flying in a jet stream that is blowing at 45.0 m/s in a direction 2020^\circ south of east (as in Exercise 3.58). Its direction of motion relative to the Earth is 45.045.0^\circ south of west, while its direction of travel relative to the air is 5.005.00^\circ south of west. What is the airplane's speed relative to the air mass? (b) What is the airplane's speed relative to the Earth?

View solution

Problem 61

A sandal is dropped from the top of a 15.0-m-high mast on a ship moving at 1.75 m/s due south. Calculate the velocity of the sandal when it hits the deck of the ship: (a) relative to the ship and (b) relative to a stationary observer on shore. (c) Discuss how the answers give a consistent result for the position at which the sandal hits the deck.

View solution

Problem 62

The velocity of the wind relative to the water is crucial to sailboats. Suppose a sailboat is in an ocean current that has a velocity of 2.20 m/s in a direction 30.030.0^\circ east of north relative to the Earth. It encounters a wind that has a velocity of 4.50 m/s in a direction of 50.050.0^\circ south of west relative to the Earth. What is the velocity of the wind relative to the water?

View solution

Problem 63

The great astronomer Edwin Hubble discovered that all distant galaxies are receding from our Milky Way Galaxy with velocities proportional to their distances. It appears to an observer on the Earth that we are at the center of an expanding universe. Figure 3.64 illustrates this for five galaxies lying along a straight line, with the Milky Way Galaxy at the center. Using the data from the figure, calculate the velocities: (a) relative to galaxy 2 and (b) relative to galaxy 5. The results mean that observers on all galaxies will see themselves at the center of the expanding universe, and they would likely be aware of relative velocities, concluding that it is not possible to locate the center of expansion with the given information.

View solution

Problem 64

(a) Use the distance and velocity data in Figure 3.64 to find the rate of expansion as a function of distance. (b) If you extrapolate back in time, how long ago would all of the galaxies have been at approximately the same position? The two parts of this problem give you some idea of how the Hubble constant for universal expansion and the time back to the Big Bang are determined, respectively.

View solution

Problem 65

An athlete crosses a 25-m-wide river by swimming perpendicular to the water current at a speed of 0.5 m/s relative to the water. He reaches the opposite side at a distance 40 m downstream from his starting point. How fast is the water in the river flowing with respect to the ground? What is the speed of the swimmer with respect to a friend at rest on the ground?

View solution

Problem 66

A ship sailing in the Gulf Stream is heading 25.025.0^\circ west of north at a speed of 4.00 m/s relative to the water. Its velocity relative to the Earth is 4.80 m/s 5.005.00^\circ west of north. What is the velocity of the Gulf Stream? (The velocity obtained is typical for the Gulf Stream a few hundred kilometers off the east coast of the United States.)

View solution

Problem 67

An ice hockey player is moving at 8.00 m/s when he hits the puck toward the goal. The speed of the puck relative to the player is 29.0 m/s. The line between the center of the goal and the player makes a 90.090.0^\circ angle relative to his path as shown in Figure 3.65. What angle must the puck's velocity make relative to the player (in his frame of reference) to hit the center of the goal?

View solution

Problem 68

Unreasonable Results Suppose you wish to shoot supplies straight up to astronauts in an orbit 36,000 km above the surface of the Earth. (a) At what velocity must the supplies be launched? (b) What is unreasonable about this velocity? (c) Is there a problem with the relative velocity between the supplies and the astronauts when the supplies reach their maximum height? (d) Is the premise unreasonable or is the available equation inapplicable? Explain your answer.

View solution

Problem 69

A commercial airplane has an air speed of 280 m/s due east and flies with a strong tailwind. It travels 3000 km in a direction 55^\circ south of east in 1.50 h. (a) What was the velocity of the plane relative to the ground? (b) Calculate the magnitude and direction of the tailwind's velocity. (c) What is unreasonable about both of these velocities? (d) Which premise is unreasonable?

View solution

Test Prep for AP® Courses

Section 3.1: Kinematics in Two Dimensions: An Introduction

Problem 1 (AP)

A ball is thrown at an angle of 45 degrees above the horizontal. Which of the following best describes the acceleration of the ball from the instant after it leaves the thrower's hand until the time it hits the ground?

  1. Always in the same direction as the motion, initially positive and gradually dropping to zero by the time it hits the ground

  2. Initially positive in the upward direction, then zero at maximum height, then negative from there until it hits the ground

  3. Always in the opposite direction as the motion, initially positive and gradually dropping to zero by the time it hits the ground

  4. Always in the downward direction with the same constant value

View solution

Problem 2 (AP)

In an experiment, a student launches a ball with an initial horizontal velocity at an elevation 2 meters above ground. The ball follows a parabolic trajectory until it hits the ground. Which of the following accurately describes the graph of the ball's vertical acceleration versus time (taking the downward direction to be negative)?
  1. A negative value that does not change with time
  2. A gradually increasing negative value (straight line)
  3. An increasing rate of negative values over time
  4. (parabolic curve)
  5. Zero at all times since the initial motion is horizontal

View solution

Problem 3 (AP)

A student wishes to design an experiment to show that the acceleration of an object is independent of the object's velocity. To do this, ball A is launched horizontally with some initial speed at an elevation 1.5 meters above the ground, ball B is dropped from rest 1.5 meters above the ground, and ball C is launched vertically with some initial speed at an elevation 1.5 meters above the ground. What information would the student need to collect about each ball in order to test the hypothesis?

View solution

Section 3.2: Vector Addition and Subtraction: Graphical Methods

Problem 4 (AP)

A ball is launched vertically upward. The vertical position of the ball is recorded at various points in time in the table shown. Which of the following correctly describes the graph of the ball's vertical velocity versus time?
  1. Always positive, steadily decreasing
  2. Always positive, constant
  3. Initially positive, steadily decreasing, becoming negative at the end
  4. Initially zero, steadily getting more and more negative

View solution

Problem 5 (AP)

Height (m) Time (sec)
0.490 0.1
0.882 0.2
1.176 0.3
1.372 0.4
1.470 0.5
1.470 0.6
1.372 0.7

A ball is launched at an angle of 60 degrees above the horizontal, and the vertical position of the ball is recorded at various points in time in the table shown, assuming the ball was at a height of 0 at time t = 0.

a. Draw a graph of the ball's vertical velocity versus time. b. Describe the graph of the ball's horizontal velocity.
c. Draw a graph of the ball's vertical acceleration versus time.

View solution

Section 3.4: Projectile Motion

Problem 6 (AP)

In an experiment, a student launches a ball with an initial horizontal velocity of 5.00 meters/sec at an elevation 2.00 meters above ground. Draw and clearly label with appropriate values and units a graph of the ball's horizontal velocity vs. time and the ball's vertical velocity vs. time. The graph should cover the motion from the instant after the ball is launched until the instant before it hits the ground. Assume the downward direction is negative for this problem.

View solution