Question
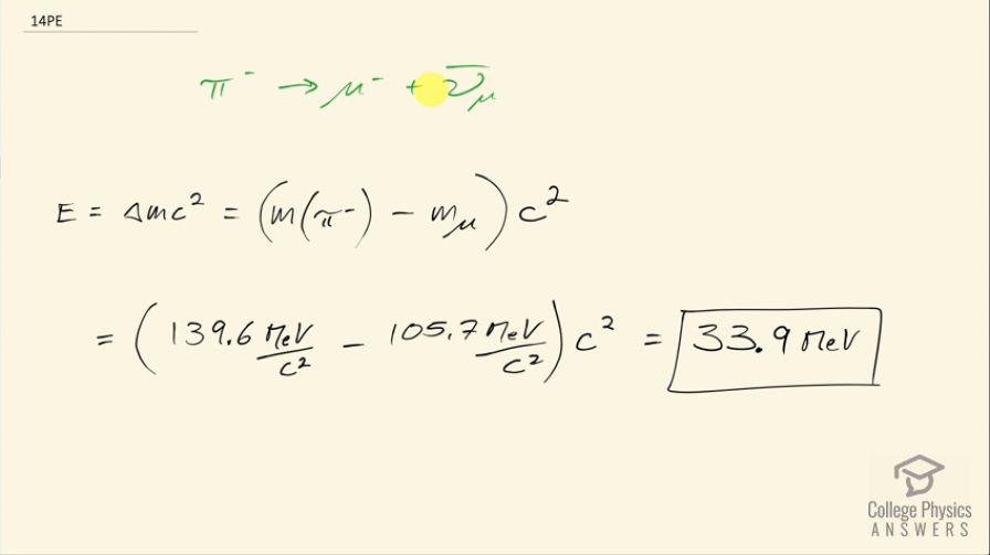
The primary decay mode for the negative pion is . What is the energy release in MeV in this decay?
Final Answer
Solution video
OpenStax College Physics for AP® Courses, Chapter 33, Problem 14 (Problems & Exercises)

vote with a rating of
votes with an average rating of
.
Calculator Screenshots
Video Transcript
This is College Physics Answers with Shaun Dychko. The negative pion decays into a muon and the muon anti-neutrino and the question is how much energy is released in this decay? So the energy released will be the difference in mass between the reactant and the products times c squared. So that is the mass of the negative pion minus the mass of the muon times c squared; the neutrino is massless. So we look up in table [33.2] for the masses here and the mass of the pi negative meson is 139.6 megaelectron volts per c squared and the mass of the muon is 105.7 megaelectron volts per c squared and so we write those numbers here multiplied by c squared and we get 33.9 megaelectron volts of energy released.