Question
The is its own antiparticle and decays in the following manner: . What is the energy of each ray if the is at rest when it decays?
Final Answer
Solution video
OpenStax College Physics for AP® Courses, Chapter 33, Problem 13 (Problems & Exercises)

vote with a rating of
votes with an average rating of
.
Calculator Screenshots
Video Transcript
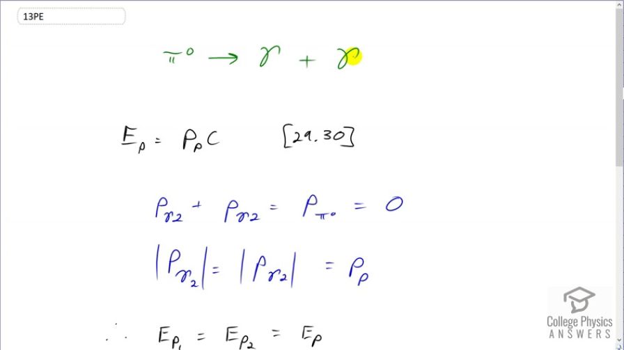
This is College Physics Answers with Shaun Dychko. A pion decays into two gamma ray photons and the question is what is the energy of each photon? From chapter 29 equation 30, the energy of a photon is the photon's momentum times speed of light c. So we need to talk about the momenta of these two gamma rays. We know that momentum is gonna be conserved and the momentum of the pion is zero because it is at rest and that means that the momenta of these two gamma rays have to add up to zero. And so they are going in opposite directions in that case so that one's positive and one's negative and their magnitudes are the same so the momentum of the second gamma particle is of the same magnitude as the momentum of the first gamma particle. and we'll just call it momentum of a photon. So that means that the energy of the first photon is equal to the energy of the second photon because they both have the same momentum and so we'll just call it E subscript P; there's no need to distinguish the number one and the number two because they are the same. And so the energy of a photon then is going to be half the energy of the pion and so we need to figure out what the mass energy of the pion is and divide that by 2. So in table [33.2], we find that the pion has a mass energy of 135 megaelectron volts per c squared so we substitute that in here, multiply by c squared, divide by 2 and so the energy of each gamma ray photon then is 67.5 megaelectron volts.