Question
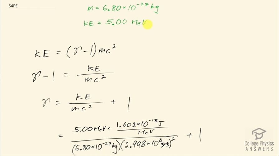
Alpha decay is nuclear decay in which a helium nucleus is emitted. If the helium nucleus has a mass of 6.80×1027 kg6.80\times 10^{-27}\textrm{ kg} and is given 5.00 MeV of kinetic energy, what is its velocity?
Question by OpenStax is licensed under CC BY 4.0
Final Answer
1.53×107 m/s1.53\times 10^{7}\textrm{ m/s}

Solution video

OpenStax College Physics, Chapter 28, Problem 54 (Problems & Exercises)

OpenStax College Physics, Chapter 28, Problem 54 (PE) video thumbnail

In order to watch this solution you need to have a subscription.

Start free trial Log in
vote with a rating of votes with an average rating of .

Calculator Screenshots

  • OpenStax College Physics, Chapter 28, Problem 54 (PE) calculator screenshot 1
Video Transcript
This is College Physics Answers with Shaun Dychko. During λ-decay, a helium nucleus is emitted and it has a kinetic energy of 5.00 megaelectron volts and given its rest mass of 6.80 times 10 to the minus 27 kilograms, what must its speed be? We know kinetic energy is γ minus 1 times the rest mass times speed of light squared and we can solve this for γ and then we have a formula for γ in terms of speed and so we'll solve this for v afterwards. So first we divide both sides by mc squared and then switch the sides around so we have γ minus 1 equals kinetic energy divided by rest mass times speed of light squared then we add 1 to both sides and now we have solved for γ. So we plug in numbers: that's 5.00 megaelectron volts converted into joules by multiplying by 1.602 times 10 to the minus 13 joules per megaelectron volt and we divide that by the rest mass of the helium particle and then times that by the speed of light squared and then add 1 and we get 1.0013106 so we have to turn this number into a speed now. So γ is the Lorentz factor and that equals 1 over the square root of 1 minus the speed squared divided by speed of light squared. We can square both sides to get rid of square root on the bottom and then we'll multiply both sides by this denominator 1 minus v squared over c squared then divide both sides by γ squared then we will end up with 1 minus v squared over c squared on the left and 1 over γ squared on the right and then add v squared over c squared to both sides and subtract 1 over γ squared from both sides and then switch the sides around and you get v squared over c squared is 1 minus 1 over γ squared then multiply both sides by c squared and you get v squared equals c squared times 1 minus 1 over γ squared, square root both sides and v then is c times square root 1 minus 1 over γ squared. So that's 2.998 times 10 to the 8 meters per second times square root of 1 minus 1 over 1.0013106 squared and that's 1.53 times 10 to the 7 meters per second.