Chapter 28

Chapter thumbnail
Special relativity explains why traveling to other star systems, such as these in the Orion Nebula, is unreasonable using our current level of technology.

Chapter 28 : Special Relativity - all with Video Solutions

Problems & Exercises

Section 28.2: Simultaneity And Time Dilation

Problem 3

Particles called π\pi-mesons are produced by accelerator beams. If these particles travel at 2.70×108 m/s2.70 \times 10^8 \textrm{ m/s} and live 2.60×108 s2.60 \times 10^{-8} \textrm{ s} when at rest relative to an observer, how long do they live as viewed in the laboratory?

View solution

Problem 4

Suppose a particle called a kaon is created by cosmic radiation striking the atmosphere. It moves by you at 0.980c0.980c, and it lives 1.24×108 s1.24\times 10^{-8}\textrm{ s} when at rest relative to an observer. How long does it live as you observe it?

View solution

Problem 5

A neutral π\pi-meson is a particle that can be created by accelerator beams. If one such particle lives 1.40×1016 s1.40 \times 10^{-16} \textrm{ s} as measured in the laboratory, and 0.840×1016 s0.840 \times 10^{-16} \textrm{ s} when at rest relative to an observer, what is its velocity relative to the laboratory?

View solution

Problem 6

A neutron lives 900 s when at rest relative to an observer. How fast is the neutron moving relative to an observer who measures its life span to be 2065 s?

View solution

Problem 7

If relativistic effects are to be less than 1%, then γ\gamma must be less than 1.01. At what relative velocity is γ=1.01\gamma = 1.01?

View solution

Problem 8

If relativistic effects are to be less than 3%, then γ must be less than 1.03. At what relative velocity is γ=1.03\gamma = 1.03?

View solution

Problem 11

(a) Find the value of γ\gamma for the following situation. An Earth-bound observer measures 23.9 h to have passed while signals from a high-velocity space probe indicate that 24.0 h have passed on board. (b) What is unreasonable about this result? (c) Which assumptions are unreasonable or inconsistent?

View solution

Section 28.3: Length Contraction

Problem 12

A spaceship, 200 m long as seen on board, moves by the Earth at 0.970c . What is its length as measured by an Earth-bound observer?

View solution

Problem 14

(a) How far does the muon in Example 28.1 travel according to the Earth-bound observer? (b) How far does it travel as viewed by an observer moving with it? Base your calculation on its velocity relative to the Earth and the time it lives (proper time). (c) Verify that these two distances are related through length contraction γ=3.20\gamma = 3.20.

View solution

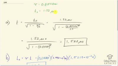
Problem 15

(a) How long would the muon in Example 28.1 have lived as observed on the Earth if its velocity was 0.0500c ? (b) How far would it have traveled as observed on the Earth? (c) What distance is this in the muon’s frame?

View solution

Problem 16

(a) How long does it take the astronaut in Example 28.2 to travel 4.30 ly at 0.99944c (as measured by the Earth- bound observer)? (b) How long does it take according to the astronaut? (c) Verify that these two times are related through time dilation with γ=30.00\gamma = 30.00 as given.

View solution

Problem 17

(a) How fast would an athlete need to be running for a 100-m race to look 100 yd long? (b) Is the answer consistent with the fact that relativistic effects are difficult to observe in ordinary circumstances? Explain.

View solution

Problem 18

(a) Find the value of γ\gamma for the following situation. An astronaut measures the length of her spaceship to be 25.0 m, while an Earth-bound observer measures it to be 100 m. (b) What is unreasonable about this result? (c) Which assumptions are unreasonable or inconsistent?

View solution

Problem 19

A spaceship is heading directly toward the Earth at a velocity of 0.800c0.800c . The astronaut on board claims that he can send a canister toward the Earth at 1.20c1.20c relative to the Earth. (a) Calculate the velocity the canister must have relative to the spaceship. (b) What is unreasonable about this result? (c) Which assumptions are unreasonable or inconsistent?

View solution

Section 28.4: Relativistic Addition of Velocities

Problem 20

Suppose a spaceship heading straight towards the Earth at 0.750c0.750c can shoot a canister at 0.500c0.500c relative to the ship. (a) What is the velocity of the canister relative to the Earth, if it is shot directly at the Earth? (b) If it is shot directly away from the Earth?

View solution

Problem 21

Suppose a spaceship heading directly away from the Earth at 0.750c0.750c can shoot a canister at 0.500c0.500c relative to the ship. (a) What is the velocity of the canister relative to the Earth, if it is shot directly at the Earth? (b) If it is shot directly away from the Earth?

View solution

Problem 22

If a spaceship is approaching the Earth at 0.100c0.100c and a message capsule is sent toward it at 0.100c0.100c relative to the Earth, what is the speed of the capsule relative to the ship?

View solution

Problem 23

(a) Suppose the speed of light were only 3000 m/s . A jet fighter moving toward a target on the ground at 800 m/s shoots bullets, each having a muzzle velocity of 1000 m/s. What are the bullets’ velocity relative to the target? (b) If the speed of light was this small, would you observe relativistic effects in everyday life? Discuss.

View solution

Problem 24

If a galaxy moving away from the Earth has a speed of 1000 km/s and emits 656 nm light characteristic of hydrogen (the most common element in the universe). (a) What wavelength would we observe on the Earth? (b) What type of electromagnetic radiation is this? (c) Why is the speed of the Earth in its orbit negligible here?

View solution

Problem 25

A space probe speeding towards the nearest star moves at 0.250c0.250c and sends radio information at a broadcast frequency of 1.00 GHz. What frequency is received on the Earth?

View solution

Problem 26

If two spaceships are heading directly towards each other at 0.800c0.800c, at what speed must a canister be shot from the first ship to approach the other at 0.999c0.999c as seen by the second ship?

View solution

Problem 27

Two planets are on a collision course, heading directly towards each other at 0.250c0.250c . A spaceship sent from one planet approaches the second at 0.750c0.750c as seen by the second planet. What is the velocity of the ship relative to the first planet?

View solution

Problem 28

When a missile is shot from one spaceship towards another, it leaves the first at 0.950c0.950c and approaches the other at 0.750c0.750c. What is the relative velocity of the two ships?

View solution

Problem 29

What is the relative velocity of two spaceships if one fires a missile at the other at 0.750c0.750c and the other observes it to approach at 0.950c0.950c ?

View solution

Problem 30

Near the center of our galaxy, hydrogen gas is moving directly away from us in its orbit about a black hole. We receive 1900 nm electromagnetic radiation and know that it was 1875 nm when emitted by the hydrogen gas. What is the speed of the gas?

View solution

Problem 31

A highway patrol officer uses a device that measures the speed of vehicles by bouncing radar off them and measuring the Doppler shift. The outgoing radar has a frequency of 100 GHz and the returning echo has a frequency 15.0 kHz higher. What is the velocity of the vehicle? Note that there are two Doppler shifts in echoes. Be certain not to round off until the end of the problem, because the effect is small.

View solution

Problem 32

Prove that for any relative velocity vv between two observers, a beam of light sent from one to the other will approach at speed cc (provided that vv is less than cc, of course).

View solution

Problem 33

Show that for any relative velocity vv between two observers, a beam of light projected by one directly away from the other will move away at the speed of light (provided that vv is less than cc, of course).

View solution

Problem 34

(a) All but the closest galaxies are receding from our own Milky Way Galaxy. If a galaxy 12.0×109 ly12.0\times 10^{9}\textrm{ ly} away is receding from us at 0.900c0.900c, at what velocity relative to us must we send an exploratory probe to approach the other galaxy at 0.990c0.990c, as measured from that galaxy? (b) How long will it take the probe to reach the other galaxy as measured from the Earth? You may assume that the velocity of the other galaxy remains constant. (c) How long will it then take for a radio signal to be beamed back? (All of this is possible in principle, but not practical.)

View solution

Section 28.5: Relativistic Momentum

Problem 35

Find the momentum of a helium nucleus having a mass of 6.68×1027 kg6.68 \times 10^{-27} \textrm{ kg} that is moving at 0.200c0.200c.

View solution

Problem 37

(a) Find the momentum of a 1.00×109 kg1.00 \times 10^9 \textrm{ kg} asteroid heading towards the Earth at 30.0 km/s . (b) Find the ratio of this momentum to the classical momentum. (Hint: Use the approximation that γ=1+12v2c2\gamma = 1 + \dfrac{1}{2} \dfrac{v^2}{c^2} at low velocities.)

View solution

Problem 38

(a) What is the momentum of a 2000 kg satellite orbiting at 4.00 km/s? (b) Find the ratio of this momentum to the classical momentum. (Hint: Use the approximation that γ=1+12v2c2\gamma = 1 + \dfrac{1}{2}\dfrac{v^2}{c^2} at low velocities.)

View solution

Problem 39

What is the velocity of an electron that has a momentum of 3.04×1021 kgm/s3.04 \times 10^{-21} \textrm{ kg}\cdot\textrm{m/s}? Note that you must calculate the velocity to at least four digits to see the difference from cc.

View solution

Problem 40

Find the velocity of a proton that has a momentum of 4.48×1019 kgm/s4.48\times 10^{-19}\textrm{ kg}\cdot\textrm{m/s}.

View solution

Problem 41

(a) Calculate the speed of a 1.00 μg1.00 \textrm{ }\mu\textrm{g} particle of dust that has the same momentum as a proton moving at 0.999c0.999c. (b) What does the small speed tell us about the mass of a proton compared to even a tiny amount of macroscopic matter?

View solution

Problem 42

(a) Calculate γ\gamma for a proton that has a momentum of 1.00 kgm/s1.00\textrm{ kg}\cdot\textrm{m/s}. (b) What is its speed? Such protons form a rare component of cosmic radiation with uncertain origins.

View solution

Section 28.6: Relativistic Energy

Problem 43

What is the rest energy of an electron, given its mass is $9.11 \times 10^{-31} \textrm{ kg}? Give your answer in joules and MeV.

View solution

Problem 44

Find the rest energy in joules and MeV of a proton, given its mass is 1.67×1027 kg1.67\times 10^{-27}\textrm{ kg}.

View solution

Problem 45

If the rest energies of a proton and a neutron (the two constituents of nuclei) are 938.3 and 939.6 MeV respectively, what is the difference in their masses in kilograms?

View solution

Problem 46

The Big Bang that began the universe is estimated to have released 1068 J10^{68}\textrm{ J} of energy. How many stars could half this energy create, assuming the average star's mass is 4.00×1030 kg4.00\times 10^{30}\textrm{ kg}.

View solution

Problem 47

A supernova explosion of a 2.00×1030 kg2.00 \times 10^{30} \textrm{ kg} star produces 1.00×1044 J1.00 \times 10^{44} \textrm{ J} of energy. (a) How many kilograms of mass are converted to energy in the explosion? (b) What is the ratio Δmm\dfrac{\Delta m}{m} of mass destroyed to the original mass of the star?

View solution

Problem 48

(a) Using data from Table 7.1, calculate the mass converted to energy by the fission of 1.00 kg of uranium. (b) What is the ratio of mass destroyed to the original mass, Δmm\dfrac{\Delta m}{m}?

View solution

Problem 49

(a) Using data from Table 7.1, calculate the amount of mass converted to energy by the fusion of 1.00 kg of hydrogen. (b) What is the ratio of mass destroyed to the original mass, Δmm\dfrac{\Delta m}{m}? (c) How does this compare with Δmm\dfrac{\Delta m}{m} for the fission of 1.00 kg of uranium?

View solution

Problem 50

There is approximately 1034 J10^{34}\textrm{ J} of energy available from fusion of hydrogen in the world’s oceans. (a) If 1033 J10^{33}\textrm{ J} of this energy were utilized, what would be the decrease in mass of the oceans? Assume that 0.08% of the mass of a water molecule is converted to energy during the fusion of hydrogen. (b) How great a volume of water does this correspond to? (c) Comment on whether this is a significant fraction of the total mass of the oceans.

View solution

Problem 51

A muon has a rest mass energy of 105.7 MeV, and it decays into an electron and a massless particle. (a) If all the lost mass is converted into the electron’s kinetic energy, find γ\gamma for the electron. (b) What is the electron’s velocity?

View solution

Problem 52

A π\pi-meson is a particle that decays into a muon and a massless particle. The π\pi-meson has a rest mass energy of 139.6 MeV, and the muon has a rest mass energy of 105.7 MeV. Suppose the π\pi-meson is at rest and all of the missing mass goes into the muon’s kinetic energy. How fast will the muon move?

View solution

Problem 53

(a) Calculate the relativistic kinetic energy of a 1000-kg car moving at 30.0 m/s if the speed of light were only 45.0 m/ s. (b) Find the ratio of the relativistic kinetic energy to classical.

View solution

Problem 54

Alpha decay is nuclear decay in which a helium nucleus is emitted. If the helium nucleus has a mass of 6.80×1027 kg6.80\times 10^{-27}\textrm{ kg} and is given 5.00 MeV of kinetic energy, what is its velocity?

View solution

Problem 55

(a) Beta decay is nuclear decay in which an electron is emitted. If the electron is given 0.750 MeV of kinetic energy, what is its velocity? (b) Comment on how the high velocity is consistent with the kinetic energy as it compares to the rest mass energy of the electron.

View solution

Problem 56

A positron is an antimatter version of the electron, having exactly the same mass. When a positron and an electron meet, they annihilate, converting all of their mass into energy. (a) Find the energy released, assuming negligible kinetic energy before the annihilation. (b) If this energy is given to a proton in the form of kinetic energy, what is its velocity? (c) If this energy is given to another electron in the form of kinetic energy, what is its velocity?

View solution

Problem 57

What is the kinetic energy in MeV of a π\pi-meson that lives 1.40×1016 s1.40 \times 10^{-16} \textrm{ s} as measured in the laboratory, and 0.840×1016 s0.840 \times 10^{-16} \textrm{ s} when at rest relative to an observer, given that its rest energy is 135 MeV?

View solution

Problem 58

Find the kinetic energy in MeV of a neutron with a measured life span of 2065 s, given its rest energy is 939.6 MeV, and rest life span is 900s.

View solution

Problem 59

(a) Show that (pc)2(mc2)2=γ21\dfrac{(pc)^2}{(mc^2)^2} = \gamma^2 -1. This means that at large velocities pcmc2pc \gg mc^2. (b) Is EpcE \approx pc when γ=30.0\gamma = 30.0, as for the astronaut discussed in the twin paradox?

View solution

Problem 60

One cosmic ray neutron has a velocity of 0.250c0.250c relative to the Earth. (a) What is the neutron’s total energy in MeV? (b) Find its momentum. (c) Is EpcE \approx pc in this situation? Discuss in terms of the equation given in part (a) of the previous problem.

View solution

Problem 61

What is γ\gamma for a proton having a mass energy of 938.3 MeV accelerated through an effective potential of 1.0 TV (teravolt) at Fermilab outside Chicago?

View solution

Problem 62

(a) What is the effective accelerating potential for electrons at the Stanford Linear Accelerator, if γ=1.00×105\gamma = 1.00\times 10^{5} for them? (b) What is their total energy (nearly the same as kinetic in this case) in GeV?

View solution

Problem 63

(a) Using data from Table 7.1, find the mass destroyed when the energy in a barrel of crude oil is released. (b) Given these barrels contain 200 liters and assuming the density of crude oil is 750 kg/m3750 \textrm{ kg/m}^3 , what is the ratio of mass destroyed to original mass, Δmm\dfrac{\Delta m}{m}?

View solution

Problem 64

(a) Calculate the energy released by the destruction of 1.00 kg of mass. (b) How many kilograms could be lifted to a 10.0 km height by this amount of energy?

View solution

Problem 65

A Van de Graaff accelerator utilizes a 50.0 MV potential difference to accelerate charged particles such as protons. (a) What is the velocity of a proton accelerated by such a potential? (b) An electron?

View solution

Problem 66

Suppose you use an average of 500 kWh500\textrm{ kW}\cdot\textrm{h} of electric energy per month in your home. (a) How long would 1.00 g of mass converted to electric energy with an efficiency of 38.0% last you? (b) How many homes could be supplied at the 500 kWh500\textrm{ kW}\cdot\textrm{h} per month rate for one year by the energy from the described mass conversion?

View solution

Problem 67

(a) A nuclear power plant converts energy from nuclear fission into electricity with an efficiency of 35.0%. How much mass is destroyed in one year to produce a continuous 1000 MW of electric power? (b) Do you think it would be possible to observe this mass loss if the total mass of the fuel is 104 kg10^4 \textrm{ kg}?

View solution

Problem 68

Nuclear-powered rockets were researched for some years before safety concerns became paramount. (a) What fraction of a rocket’s mass would have to be destroyed to get it into a low Earth orbit, neglecting the decrease in gravity? (Assume an orbital altitude of 250 km, and calculate both the kinetic energy (classical) and the gravitational potential energy needed.) (b) If the ship has a mass of 1.00×105 kg1.00\times 10^{5}\textrm{ kg} (100 tons), what total yield nuclear explosion in tons of TNT is needed?

View solution

Problem 69

The Sun produces energy at a rate of 4.00×1026 kg4.00 \times 10^{26} \textrm{ kg} by the fusion of hydrogen. (a) How many kilograms of hydrogen undergo fusion each second? (b) If the Sun is 90.0% hydrogen and half of this can undergo fusion before the Sun changes character, how long could it produce energy at its current rate? (c) How many kilograms of mass is the Sun losing per second? (d) What fraction of its mass will it have lost in the time found in part (b)?

View solution

Problem 70

A proton has a mass of 1.67×1027 kg1.67\times 10^{-27}\textrm{ kg} . A physicist measures the proton’s total energy to be 50.0 MeV. (a) What is the proton’s kinetic energy? (b) What is unreasonable about this result? (c) Which assumptions are unreasonable or inconsistent?

View solution