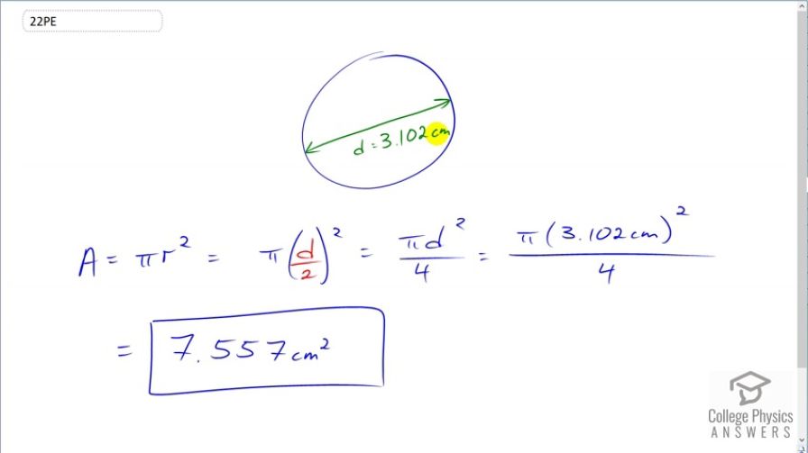
Question
What is the area of a circle 3.102 cm in diameter?
Final Answer
Solution video
OpenStax College Physics for AP® Courses, Chapter 1, Problem 22 (Problems & Exercises)

vote with a rating of
votes with an average rating of
.
Calculator Screenshots
Video Transcript
This is College Physics Answers with Shaun Dychko. We want to find the area of a circle that has a diameter of 3.102 centimeters. Now since no error is given to us for this number, we assume that the error is plus or minus 1 of the most precise digit but we are not really gonna do plus or minus business here, we are just going to use our rules for multiplying; when you multiply two numbers, if the error is not given to you then your next best estimate of what to do is to have an answer with as many significant figures as the factor with the fewest significant figures— okay but we'll get to that in a second. First of all, the area of a circle is π r squared but we are not given the radius instead we are given the diameter and so we substitute diameter divided by 2 in place of r and then we square that and we get π d squared over 4 is our formula for the area. So we have π times 3.102 centimeters— diameter—squared divided by 4 and since this has four significant figures and it's being multiplied by itself with four significant figures, our answer, 7.557 square centimeters, is also going to have four significant figures.