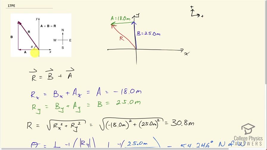
Exercise 3.16: Suppose you walk 18.0 m straight west and then 25.0 m straight north. How far are you from your starting point, and what is the compass direction of a line connecting your starting point to your final position? (If you represent the two legs of the walk as vector displacements A and B, as in Figure 3.60, then this problem asks you to find their sum R = A + B.)
Solution video
OpenStax College Physics, Chapter 3, Problem 17 (Problems & Exercises)

Calculator Screenshots
Comments
why did you do 18/25 instead of 25/18
Thanks a lot for pointing this out happyfeet1025. I've flagged this video for a re-take and put a note in the final answer section. I mistakenly substituted the x-component divided by y-component, which results in the angle being to the West of North. The angle is between the resultant vector and the y-axis.
All the best with your studies,
Shaun
This video was updated Nov. 22nd, 2023