Question
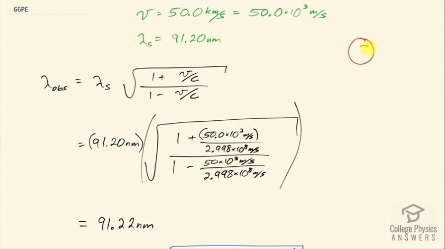
A pulsar is a rapidly spinning remnant of a supernova. It rotates on its axis, sweeping hydrogen along with it so that hydrogen on one side moves toward us as fast as 50.0 km/s, while that on the other side moves away as fast as 50.0 km/s. This means that the EM radiation we receive will be Doppler shifted over a range of ±50.0 km/s\pm 50.0\textrm{ km/s}. What range of wavelengths will we observe for the 91.20-nm line in the Lyman series of hydrogen? (Such line broadening is observed and actually provides part of the evidence for rapid rotation.)
Question by OpenStax is licensed under CC BY 4.0
Final Answer
91.18 nmλobs91.22 nm91.18\textrm{ nm} \le \lambda_\textrm{obs} \le 91.22\textrm{ nm}

Solution video

OpenStax College Physics for AP® Courses, Chapter 30, Problem 66 (Problems & Exercises)

OpenStax College Physics, Chapter 30, Problem 66 (PE) video thumbnail

In order to watch this solution you need to have a subscription.

Start free trial Log in
vote with a rating of votes with an average rating of .

Calculator Screenshots

  • OpenStax College Physics, Chapter 30, Problem 66 (PE) calculator screenshot 1
  • OpenStax College Physics, Chapter 30, Problem 66 (PE) calculator screenshot 2
Video Transcript
This is College Physics Answers with Shaun Dychko. Hydrogen is being swept around this spinning pulsar so if we have this... this is the pulsar and it's rotating this way and there's an observer here with an eyeball and the observer will notice hydrogen coming towards the observer with a speed of 50.0 times 10 to the 3 meters per second on one side of the pulsar and then the hydrogen will be going away from the observer with the same speed on the other side of the pulsar and we know that the hydrogen is emitting a wavelength of 91.20 nanometers, what will be the observed wavelength that are seen on each side of the pulsar as a result of the Doppler shift because of the hydrogen moving so fast? So on the side where the hydrogen is moving away, we'll have v equal to positive 50.0 kilometers per second and on the side moving towards us, we'll have speed is negative 50.0 kilometers per second in our Doppler shift formula. So let's figure out the observed wavelength on the going-away side of the pulsar and that will be the wavelength emitted by the source times the square root of 1 plus the speed over the speed of light divided by 1 minus the speed divided by speed of light. So that's 91.20 nanometers times square root of 1 plus 50.0 times 10 to the 3 meters per second divided by speed of light divided by 1 minus 50 kilometers per second divided by speed of light and this is 91.22 nanometers. So the wavelength on the side where hydrogen is going away from us is red-shifted or it's stretched, in other words. On the coming towards us side of the pulsar, it's going to be 91.20 nanometers times square root of 1 plus negative 50.0 times 10 to the 3 meters per second— and I put the negative there in red just to emphasize that there is the difference between what you see here versus what we calculated before— and in the denominator, we have a negative there as well and this works out to 91.18 nanometers. So the wavelengths that we will observe will be everything in between these two extremes so when the hydrogen is sort of somewhat coming towards us but not quite, it will be a little bit blue-shifted but not really and over here, it will be slightly red-shifted but not that much and everything in between and when it's just directly here moving horizontally with respect to us, there will be no shift at all and we should see exactly 91.20 nanometers emitted from this position here. Okay! So wavelength observed will be anything between 91.18 nanometers and 91.22 nanometers.