Question
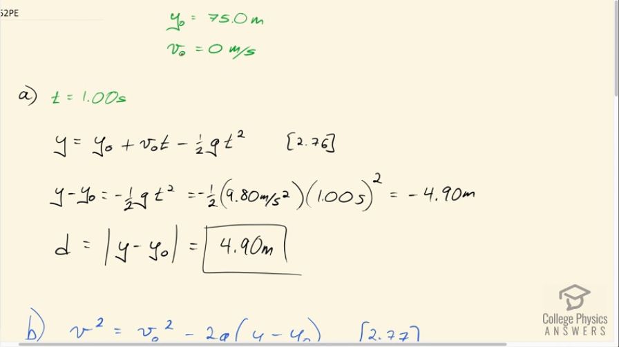
An object is dropped from a height of 75.0 m above ground level. (a) Determine the distance traveled during the first second. (b) Determine the final velocity at which the object hits the ground. (c) Determine the distance traveled during the last second of motion before hitting the ground.
Question by OpenStax is licensed under CC BY 4.0
Final Answer
  1. 4.90 m4.90\textrm{ m}
  2. 38.3 m/s-38.3 \textrm{ m/s}
  3. 33.4 m33.4 \textrm{ m}

Solution video

OpenStax College Physics, Chapter 2, Problem 52 (Problems & Exercises)

OpenStax College Physics, Chapter 2, Problem 52 (PE) video thumbnail

In order to watch this solution you need to have a subscription.

Start free trial Log in
vote with a rating of votes with an average rating of .

Calculator Screenshots

  • OpenStax College Physics, Chapter 2, Problem 52 (PE) calculator screenshot 1
Video Transcript
This is College Physics Answers with Shaun Dychko. An object is dropped from an initial height of 75 meters and since it is dropped, we assume the initial speed then is 0 meters per second. Part (a) asks us how far will it go during its first second of falling? Equation 76 in chapter 2 says that the final height will be the initial height plus the initial speed multiplied by time and this term is 0 because v naught is 0 minus one-half times acceleration due to gravity times time squared. And we'll move this y naught to the left side by subtracting it from both sides and we have then the distance traveled is the difference between the final height and the initial height and that equals negative one-half gt squared. So that's negative one-half times 9.8 meters per second squared— acceleration due to gravity— multiplied by 1 second squared which is negative 4.90 meters. So this is to say its displacement then is in the downward direction because of the negative sign there, 4.90 meters, but we want to know just the distance and so that's going to be the absolute value of this displacement which is going to be positive 4.90 meters. So it falls 4.90 meters during the first second of falling. And then part (b) asks what will the final speed of the object be when it hits the ground? So equation 77 says that the final speed squared is the initial speed squared minus 2 times acceleration due to gravity multiplied by the change in height and we can make this term disappear because v naught is 0 and then take the square root of both sides and we technically should take the plus or minus square root because you don't really know when you are solving an equation where the variable is squared you take the square root of both sides, you don't know whether to take the positive or the negative square root but we can use our understanding of the problem which is that this object is falling downwards and we are taking up to be the positive direction meaning that its velocity will be in the negative direction down and so we take the negative here. So we have negative of the square root of negative 2 times 9.80 meters per second squared—acceleration due to gravity— multiplied by the final height which is 0— we take the ground level to be height 0— minus the initial height of 75 meters giving negative 38.3 meters per second will be the final velocity of the object and we need to have this negative there because the term used in the question is to find the final velocity; had it said determine the final speed, in that case, we would have taken the positive of this. Okay. Part (c) asks us how far will the thing fall during its last one second of traveling? So it's initially dropped from this height of 75 meters and it will fall some distance, that we haven't figured out yet, to this height of y 1 and from then on, it will hit the ground and this height here is special because the time at which it occurs is 1 second less than the total time of travel. So where did this 2.9123 seconds come from? Well what we have done here is found the total time to fall which we can figure out from equation 76 and we know that the final height is the initial height plus v naught t minus one-half acceleration due to gravity times total time squared and this term is zero because v naught is zero. We are gonna find the total time to fall and that is 3.9123 seconds and then we take 1 away from that to get a time of 2.9123 seconds that's what this time is here at which point the object is at height y 1 and this is the height 1 second before it hits the ground. And so if we find this height, y 1, that will answer our question because it will fall from here to zero during the last second of falling. So just to explain this 3.9123 seconds a bit more, we have this term being zero and then we subtracted y naught from both sides and then switch the sides around to have the unknown t f on the left— this f is the final time, the total time to fall— and then multiply both sides by negative 2 over g and then take the square root of both sides and then we end up with this line here and the negative sign doesn't show under the square root sign because I switched the signs around of these terms here so the y naught became positive and the y became negative. Okay. And we'll take the positive of this because time is positive here and that is square root of 2 times 75 meters—that's the initial height—because y is 0 so we can rewrite this as shown here; square root 2y naught over g. y naught is 75 and g is 9.8 of course and that gives this total time to fall and we subtract 1 from that to get this time at height y 1 and then we figure out what y 1 is. It's 75 meters minus one-half times 9.8 meters per second squared times 2.9123 seconds squared giving 33.44 meters and that is the distance that it falls during the last second.

Comments

I got the correct answer but there is one thing I am confused about. If in part c we found that it travels a distance of 33.4m in 2.9 sec, then shouldn't the distance during the last second be 75m-33.4m?

Hi Ren, thank you for the question and please excuse the late reply. In part (c) we find the position of the object at 2.9 seconds with a reference level of 0m at the ground. With zero meters chosen at the ground level, the position of the object at 2.9 sec is how far the object is above the ground exactly one second before it impacts the ground. In other words, the answer to part (c) is the distance the object will fall during its last second.

If you wanted to use your alternative technique of finding the distance through which the object falls during the initial 2.9 seconds, and then subtract that from the total falling distance of 75m, you will find the calculation is 75 m12(9.8 m/s2)(2.91 s)2=33.4 m75 \textrm{ m} - \dfrac{1}{2}(9.8\textrm{ m/s}^2)*(2.91\textrm{ s})^2 = 33.4 \textrm{ m}.

All the best,
Shaun