Question
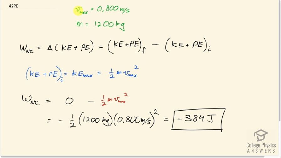
How much energy must the shock absorbers of a 1200-kg car dissipate in order to damp a bounce that initially has a velocity of 0.800 m/s at the equilibrium position? Assume the car returns to its original vertical position.
Final Answer
The shock absorbers must dissipate of energy.
Solution video
OpenStax College Physics for AP® Courses, Chapter 16, Problem 42 (Problems & Exercises)

vote with a rating of
votes with an average rating of
.
Calculator Screenshots
Video Transcript
This is College Physics Answers with Shaun Dychko. Shock absorbers must dampen a bounce that causes a maximum speed of 0.800 meters per second and we know that that it's the maximum speed because this is the speed at the equilibrium position and that's when speed in a simple harmonic motion is at its maximum is at the equilibrium. And the mass of the car is 1200 kilograms and our job is to figure out how much energy needs to be dissipated in order to fully dampen this bounce. And so the work done by the non-conservative force, which is friction in this case in the shock absorbers, it equals the change in the total energy— kinetic plus potential— and so that is the total final mechanical energy minus the total initial mechanical energy and initially the total mechanical energy is equal to the maximum kinetic energy because when kinetic energy is at its maximum that means the car is at its equilibrium position in which case there's no potential energy; the shock absorbers are not stretched at all there. And so with no potential that means all of the energy is kinetic and this maximum kinetic energy is one-half mass times the maximum speed squared. So for the total energy that needs to be dissipated then is going to be this zero because we want to end up with no kinetic nor potential energy minus the initial total mechanical energy which is one-half mv max squared. So it's negative one-half times 1200 kilograms times 0.800 meters per second squared is negative 384 joules.