Question
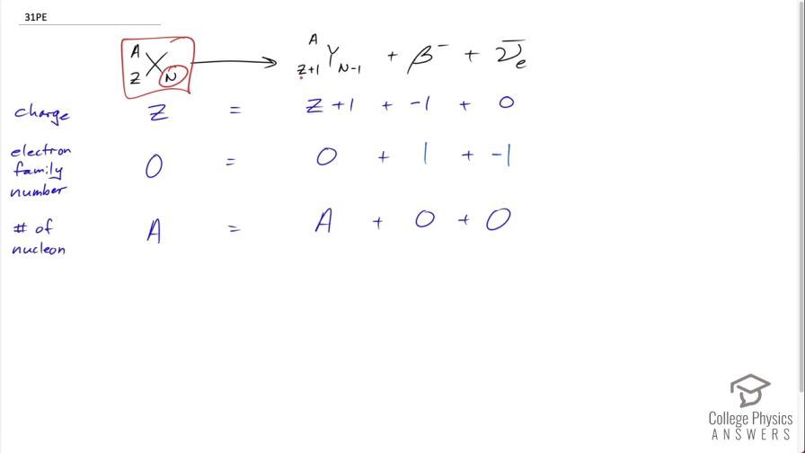
Confirm that charge, electron family number, and the total number of nucleons are all conserved by the rule for β\beta^- decay given in the equation ZAXNZ+1AYN1+β+νeˉ{}^A_Z\textrm{X}_N \to {}^A_{Z+1}\textrm{Y}_{N-1} + \beta^- + \bar{\nu_\textrm{e}}. To do this, identify the values of each before and after the decay.
Question by OpenStax is licensed under CC BY 4.0
Final Answer
Please see the solution video.

Solution video

OpenStax College Physics, Chapter 31, Problem 31 (Problems & Exercises)

In order to watch this solution you need to have a subscription.

Start free trial Log in
vote with a rating of votes with an average rating of .
Video Transcript
This is College Physics Answers with Shaun Dychko. In beta decay, a neutron and the parent nuclide turns into a proton and an electron so this β-particle is another way of saying electron and the daughter nuclide will have one additional proton compared to the parent nuclide so we have Ƶ plus 1. Let's check each of these conservation rules to make sure they are all followed in this process. So we check conservation of charge: on the left hand side, we have a total charge of Ƶ protons so positive Ƶ and on the right hand side, we have Ƶ plus 1 from the daughter nuclide but we have a compensating negative 1 charge from this β-particle that's produced as well and the electron anti-neutrino has no charge and so on the right hand side, this total is also Ƶ so that checks out and we have Ƶ equals Ƶ. For electron family number, there are no particles on the left side that have an electron family number and so the left side is 0; on the right hand side, it's 0 for the daughter nuclide and it's positive 1 for the β-particle and negative 1 for the electron anti-neutrino and so the total on the right hand side is 0 equaling the total on the left, which is also 0 so that checks out. And the number of nucleons: on the left side, we have A nucleons— that's Ƶ plus N— and on the right hand side, it's the same number of nucleons Ƶ plus 1 plus N minus 1 so in other words, it's Ƶ plus N as well. Same number of nucleons, the β-particle and the electron anti-neutrino do not have any nucleons at all and so it's A equals A and that checks out too.

Comments

electron family number discrepancy on Webassign

Thank you so much cajenks for noticing this. I have made a note in the final answer about mistakenly switching the positive and negative signs for the electron family numbers between the beta particle and electron antineutrino. I've also flagged the video for a re-do.
All the best with your studies,
Shaun