Chapter 7

Chapter thumbnail
How many forms of energy can you identify in this photograph of a wind farm in Sandesneben, Germany?

Chapter 7 : Work, Energy, and Energy Resources - all with Video Solutions

Problems & Exercises

Section 7.1: Work: The Scientific Definition

Problem 1

How much work does a supermarket checkout attendant do on a can of soup he pushes 0.600 m horizontally with a force of 5.00 N? Express your answer in joules and kilocalories.

View solution

Problem 3

(a) Calculate the work done on a 1500-kg elevator car by its cable to lift it 40.0 m at constant speed, assuming friction averages 100 N. (b) What is the work done on the lift by the gravitational force in this process? (c) What is the total work done on the lift?

View solution

Problem 4

Suppose a car travels 108 km at a speed of 30.0 m/s, and uses 2.0 gal of gasoline. Only 30% of the gasoline goes into useful work by the force that keeps the car moving at constant speed despite friction. (See Table 7.1 for the energy content of gasoline.) (a) What is the magnitude of the force exerted to keep the car moving at constant speed? (b) If the required force is directly proportional to speed, how many gallons will be used to drive 108 km at a speed of 28.0 m/s?

View solution

Problem 5

Calculate the work done by an 85.0-kg man who pushes a crate 4.00 m up along a ramp that makes an angle of 2020^\circ with the horizontal. (See Figure 7.34.) He exerts a force of 500 N on the crate parallel to the ramp and moves at a constant speed. Be certain to include the work he does on the crate and on his body to get up the ramp.

View solution

Problem 6

How much work is done by the boy pulling his sister 30.0 m in a wagon as shown in Figure 7.35? Assume no friction acts on the wagon.

View solution

Problem 7

A shopper pushes a grocery cart 20.0 m at constant speed on level ground, against a 35.0 N frictional force. He pushes in a direction 25.025.0^\circ below the horizontal. (a) What is the work done on the cart by friction? (b) What is the work done on the cart by the gravitational force? (c) What is the work done on the cart by the shopper? (d) Find the force the shopper exerts, using energy considerations. (e) What is the total work done on the cart?

View solution

Problem 8

Suppose the ski patrol lowers a rescue sled and victim, having a total mass of 90.0 kg, down a 6060^\circ slope at constant speed, as shown in Figure 7.36. The coefficient of friction between the sled and the snow is 0.100. (a) How much work is done by friction as the sled moves 30.0 m along the hill? (b) How much work is done by the rope on the sled in this distance? (c) What is the work done by the gravitational force on the sled? (d) What is the total work done?

View solution

Section 7.2: Kinetic Energy and the Work-Energy Theorem

Problem 9

Compare the kinetic energy of a 20,000-kg truck moving at 110 km/h with that of an 80.0-kg astronaut in orbit moving at 27,500 km/h.

View solution

Problem 10

(a) How fast must a 3000-kg elephant move to have the same kinetic energy as a 65.0-kg sprinter running at 10.0 m/ s? (b) Discuss how the larger energies needed for the movement of larger animals would relate to metabolic rates.

View solution

Problem 11

Confirm the value given for the kinetic energy of an aircraft carrier in Table 7.1. You will need to look up the definition of a nautical mile (1 knot = 1 nautical mile/h).

View solution

Problem 12

(a) Calculate the force needed to bring a 950-kg car to rest from a speed of 90.0 km/h in a distance of 120 m (a fairly typical distance for a non-panic stop). (b) Suppose instead the car hits a concrete abutment at full speed and is brought to a stop in 2.00 m. Calculate the force exerted on the car and compare it with the force found in part (a).

View solution

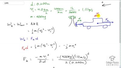
Problem 13

A car’s bumper is designed to withstand a 4.0-km/h (1.1-m/s) collision with an immovable object without damage to the body of the car. The bumper cushions the shock by absorbing the force over a distance. Calculate the magnitude of the average force on a bumper that collapses 0.200 m while bringing a 900-kg car to rest from an initial speed of 1.1 m/s.

View solution

Problem 14

Boxing gloves are padded to lessen the force of a blow. (a) Calculate the force exerted by a boxing glove on an opponent’s face, if the glove and face compress 7.50 cm during a blow in which the 7.00-kg arm and glove are brought to rest from an initial speed of 10.0 m/s. (b) Calculate the force exerted by an identical blow in the days when no gloves were used and the knuckles and face would compress only 2.00 cm. (c) Discuss the magnitude of the force with glove on. Does it seem high enough to cause damage even though it is lower than the force with no glove?

View solution

Problem 15

Using energy considerations, calculate the average force a 60.0-kg sprinter exerts backward on the track to accelerate from 2.00 to 8.00 m/s in a distance of 25.0 m, if he encounters a headwind that exerts an average force of 30.0 N against him.

View solution

Section 7.3: Gravitational Potential Energy

Problem 16

A hydroelectric power facility (see Figure 7.37) converts the gravitational potential energy of water behind a dam to electric energy. (a) What is the gravitational potential energy relative to the generators of a lake of volume 50.0 km350.0\textrm{ km}^3 ( mass = 5.00×1013 kg5.00 \times 10^{13}\textrm{ kg}), given that the lake has an average height of 40.0 m above the generators? (b) Compare this with the energy stored in a 9-megaton fusion bomb.

View solution

Problem 17

(a) How much gravitational potential energy (relative to the ground on which it is built) is stored in the Great Pyramid of Cheops, given that its mass is about 7×109 kg7 \times 10^9 \textrm{ kg} and its center of mass is 36.5 m above the surrounding ground? (b) How does this energy compare with the daily food intake of a person?

View solution

Problem 18

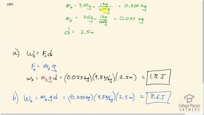
Suppose a 350-g kookaburra (a large kingfisher bird) picks up a 75-g snake and raises it 2.5 m from the ground to a branch. (a) How much work did the bird do on the snake? (b) How much work did it do to raise its own center of mass to the branch?

View solution

Problem 19

In Example 7.7, we found that the speed of a roller coaster that had descended 20.0 m was only slightly greater when it had an initial speed of 5.00 m/s than when it started from rest. This implies that ΔPE>KEi\Delta PE > KE_i . Confirm this statement by taking the ratio of ΔPE\Delta PE to KEiKE_i. (Note that mass cancels.)

View solution

Problem 20

A 100-g toy car is propelled by a compressed spring that starts it moving. The car follows the curved track in Figure 7.38. Show that the final speed of the toy car is 0.687 m/s if its initial speed is 2.00 m/s and it coasts up the frictionless slope, gaining 0.180 m in altitude.

View solution

Problem 21

In a downhill ski race, surprisingly, little advantage is gained by getting a running start. (This is because the initial kinetic energy is small compared with the gain in gravitational potential energy on even small hills.) To demonstrate this, find the final speed and the time taken for a skier who skies 70.0 m along a 3030^\circ slope neglecting friction: (a) Starting from rest. (b) Starting with an initial speed of 2.50 m/s. (c) Does the answer surprise you? Discuss why it is still advantageous to get a running start in very competitive events.

View solution

Section 7.4: Conservative Forces and Potential Energy

Problem 22

A 5.00×105 kg5.00 \times 10^{5}\textrm{ kg} subway train is brought to a stop from a speed of 0.500 m/s in 0.400 m by a large spring bumper at the end of its track. What is the force constant k of the spring?

View solution

Problem 23

A pogo stick has a spring with a force constant of 2.50×104 N/m2.50 \times 10^4 \textrm{ N/m}, which can be compressed 12.0 cm. To what maximum height can a child jump on the stick using only the energy in the spring, if the child and stick have a total mass of 40.0 kg? Explicitly show how you follow the steps in the Problem-Solving Strategies for Energy.

View solution

Section 7.5: Nonconservative Forces

Problem 24

A 60.0-kg skier with an initial speed of 12.0 m/s coasts up a 2.50-m-high rise as shown in Figure 7.39. Find her final speed at the top, given that the coefficient of friction between her skis and the snow is 0.0800. (Hint: Find the distance traveled up the incline assuming a straight-line path as shown in the figure.)

View solution

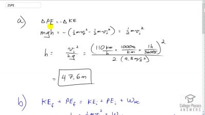
Problem 25

(a) How high a hill can a car coast up (engine disengaged) if work done by friction is negligible and its initial speed is 110 km/h? (b) If, in actuality, a 750-kg car with an initial speed of 110 km/h is observed to coast up a hill to a height 22.0 m above its starting point, how much thermal energy was generated by friction? (c) What is the average force of friction if the hill has a slope 2.52.5^\circ above the horizontal?

View solution

Section 7.6: Conservation of Energy

Problem 26

Using values from Table 7.1, how many DNA molecules could be broken by the energy carried by a single electron in the beam of an old-fashioned TV tube? (These electrons were not dangerous in themselves, but they did create dangerous x rays. Later model tube TVs had shielding that absorbed x rays before they escaped and exposed viewers.)

View solution

Problem 27

Using energy considerations and assuming negligible air resistance, show that a rock thrown from a bridge 20.0 m above water with an initial speed of 15.0 m/s strikes the water with a speed of 24.8 m/s independent of the direction thrown.

View solution

Problem 28

If the energy in fusion bombs were used to supply the energy needs of the world, how many of the 9-megaton variety would be needed for a year’s supply of energy (using data from Table 7.1)? This is not as far-fetched as it may sound—there are thousands of nuclear bombs, and their energy can be trapped in underground explosions and converted to electricity, as natural geothermal energy is.

View solution

Problem 29

(a) Use of hydrogen fusion to supply energy is a dream that may be realized in the next century. Fusion would be a relatively clean and almost limitless supply of energy, as can be seen from Table 7.1. To illustrate this, calculate how many years the present energy needs of the world could be supplied by one millionth of the oceans’ hydrogen fusion energy. (b) How does this time compare with historically significant events, such as the duration of stable economic systems?

View solution

Section 7.7: Power

Problem 30

The Crab Nebula (see Figure 7.40) pulsar is the remnant of a supernova that occurred in A.D. 1054. Using data from Table 7.3, calculate the approximate factor by which the power output of this astronomical object has declined since its explosion.

View solution

Problem 31

Suppose a star 1000 times brighter than our Sun (that is, emitting 1000 times the power) suddenly goes supernova. Using data from Table 7.3: (a) By what factor does its power output increase? (b) How many times brighter than our entire Milky Way galaxy is the supernova? (c) Based on your answers, discuss whether it should be possible to observe supernovas in distant galaxies. Note that there are on the order of 101110^{11} observable galaxies, the average brightness of which is somewhat less than our own galaxy.

View solution

Problem 32

A person in good physical condition can put out 100 W of useful power for several hours at a stretch, perhaps by pedaling a mechanism that drives an electric generator. Neglecting any problems of generator efficiency and practical considerations such as resting time: (a) How many people would it take to run a 4.00-kW electric clothes dryer? (b) How many people would it take to replace a large electric power plant that generates 800 MW?

View solution

Problem 33

What is the cost of operating a 3.00-W electric clock for a year if the cost of electricity is $0.0900 per kWh\$0.0900 \textrm{ per kW} \cdot \textrm{h}?

View solution

Problem 34

A large household air conditioner may consume 15.0 kW of power. What is the cost of operating this air conditioner 3.00 h per day for 30.0 d if the cost of electricity is \0.110per0.110 per \textrm{kW}\cdot\textrm{h}$?

View solution

Problem 35

(a) What is the average power consumption in watts of an appliance that uses 5.00 kWh5.00 \textrm{ kW} \cdot \textrm{h} of energy per day? (b) How many joules of energy does this appliance consume in a year?

View solution

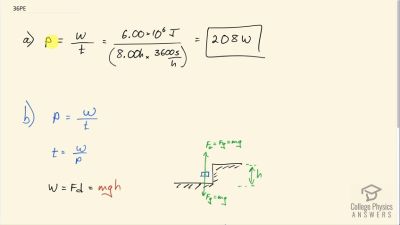
Problem 36

(a) What is the average useful power output of a person who does 6.00×106 J6.00\times 10^{6}\textrm{ J} of useful work in 8.00 h? (b) Working at this rate, how long will it take this person to lift 2000 kg of bricks 1.50 m to a platform? (Work done to lift his body can be omitted because it is not considered useful output here.)

View solution

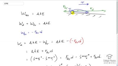
Problem 37

A 500-kg dragster accelerates from rest to a final speed of 110 m/s in 400 m (about a quarter of a mile) and encounters an average frictional force of 1200 N. What is its average power output in watts and horsepower if this takes 7.30 s?

View solution

Problem 38

(a) How long will it take an 850-kg car with a useful power output of 40.0 hp (1 hp = 746 W) to reach a speed of 15.0 m/ s, neglecting friction? (b) How long will this acceleration take if the car also climbs a 3.00-m-high hill in the process?

View solution

Problem 39

(a) Find the useful power output of an elevator motor that lifts a 2500-kg load a height of 35.0 m in 12.0 s, if it also increases the speed from rest to 4.00 m/s. Note that the total mass of the counterbalanced system is 10,000 kg—so that only 2500 kg is raised in height, but the full 10,000 kg is accelerated. (b) What does it cost, if electricity is \0.0900per0.0900 per \textrm{ kW} \cdot \textrm{ hr}$?

View solution

Problem 40

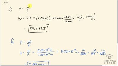
(a) What is the available energy content, in joules, of a battery that operates a 2.00-W electric clock for 18 months? (b) How long can a battery that can supply 8.00×104 J8.00\times 10^{4}\textrm{ J} run a pocket calculator that consumes energy at the rate of 1.00×103 W1.00\times 10^{-3}\textrm{ W}?

View solution

Problem 41

(a) How long would it take a 1.50×1051.50 \times 10^5-kg airplane with engines that produce 100 MW of power to reach a speed of 250 m/s and an altitude of 12.0 km if air resistance were negligible? (b) If it actually takes 900 s, what is the power? (c) Given this power, what is the average force of air resistance if the airplane takes 1200 s? (Hint: You must find the distance the plane travels in 1200 s assuming constant acceleration.)

View solution

Problem 42

Calculate the power output needed for a 950-kg car to climb a 2.002.00^\circ slope at a constant 30.0 m/s while encountering wind resistance and friction totaling 600 N. Explicitly show how you follow the steps in the Problem- Solving Strategies for Energy.

View solution

Problem 43

(a) Calculate the power per square meter reaching Earth’s upper atmosphere from the Sun. (Take the power output of the Sun to be 4.00×1026 W4.00 \times 10^{26} \textrm{ W}). (b) Part of this is absorbed and reflected by the atmosphere, so that a maximum of 1.30 kW/m21.30 \textrm{ kW/m}^2 reaches Earth’s surface. Calculate the area in km2\textrm{km}^2 of solar energy collectors needed to replace an electric power plant that generates 750 MW if the collectors convert an average of 2.00% of the maximum power into electricity. (This small conversion efficiency is due to the devices themselves, and the fact that the sun is directly overhead only briefly.) With the same assumptions, what area would be needed to meet the United States’ energy needs (1.05×1020 J)(1.05 \times 10^{20} \textrm{ J})? Australia’s energy needs (5.4×1018 J)(5.4 \times 10^{18} \textrm{ J})? China’s energy needs (6.3×1019)(6.3 \times 10^{19})? (These energy consumption values are from 2006.)

View solution

Section 7.8: Work, Energy, and Power in Humans

Problem 44

(a) How long can you rapidly climb stairs (116/min) on the 93.0 kcal of energy in a 10.0-g pat of butter? (b) How many flights is this if each flight has 16 stairs?

View solution

Problem 45

(a) What is the power output in watts and horsepower of a 70.0-kg sprinter who accelerates from rest to 10.0 m/s in 3.00 s? (b) Considering the amount of power generated, do you think a well-trained athlete could do this repetitively for long periods of time?

View solution

Problem 46

Calculate the power output in watts and horsepower of a shot-putter who takes 1.20 s to accelerate the 7.27-kg shot from rest to 14.0 m/s, while raising it 0.800 m. (Do not include the power produced to accelerate his body.)

View solution

Problem 47

(a) What is the efficiency of an out-of-condition professor who does 2.10 \times 10^5  \textrm{ J} of useful work while metabolizing 500 kcal of food energy? (b) How many food calories would a well-conditioned athlete metabolize in doing the same work with an efficiency of 20%?

View solution

Problem 48

Energy that is not utilized for work or heat transfer is converted to the chemical energy of body fat containing about 39 kJ/g. How many grams of fat will you gain if you eat 10,000 kJ (about 2500 kcal) one day and do nothing but sit relaxed for 16.0 h and sleep for the other 8.00 h? Use data from Table 7.5 for the energy consumption rates of these activities.

View solution

Problem 49

Using data from Table 7.5, calculate the daily energy needs of a person who sleeps for 7.00 h, walks for 2.00 h, attends classes for 4.00 h, cycles for 2.00 h, sits relaxed for 3.00 h, and studies for 6.00 h. (Studying consumes energy at the same rate as sitting in class.)

View solution

Problem 50

What is the efficiency of a subject on a treadmill who puts out work at the rate of 100 W while consuming oxygen at the rate of 2.00 L/min? (Hint: See Table 7.5.)

View solution

Problem 51

Shoveling snow can be extremely taxing because the arms have such a low efficiency in this activity. Suppose a person shoveling a footpath metabolizes food at the rate of 800 W. (a) What is her useful power output? (b) How long will it take her to lift 3000 kg of snow 1.20 m? (This could be the amount of heavy snow on 20 m of footpath.) (c) How much waste heat transfer in kilojoules will she generate in the process?

View solution

Problem 52

Very large forces are produced in joints when a person jumps from some height to the ground. (a) Calculate the magnitude of the force produced if an 80.0-kg person jumps from a 0.600–m-high ledge and lands stiffly, compressing joint material 1.50 cm as a result. (Be certain to include the weight of the person.) (b) In practice the knees bend almost involuntarily to help extend the distance over which you stop. Calculate the magnitude of the force produced if the stopping distance is 0.300 m. (c) Compare both forces with the weight of the person.

View solution

Problem 53

Jogging on hard surfaces with insufficiently padded shoes produces large forces in the feet and legs. (a) Calculate the magnitude of the force needed to stop the downward motion of a jogger’s leg, if his leg has a mass of 13.0 kg, a speed of 6.00 m/s, and stops in a distance of 1.50 cm. (Be certain to include the weight of the 75.0-kg jogger’s body.) (b) Compare this force with the weight of the jogger.

View solution

Problem 54

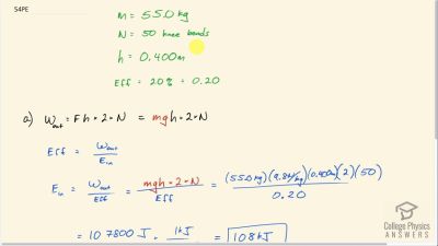
(a) Calculate the energy in kJ used by a 55.0-kg woman who does 50 deep knee bends in which her center of mass is lowered and raised 0.400 m. (She does work in both directions.) You may assume her efficiency is 20%. (b) What is the average power consumption rate in watts if she does this in 3.00 min?

View solution

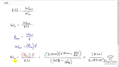
Problem 55

Kanellos Kanellopoulos flew 119 km from Crete to Santorini, Greece, on April 23, 1988, in the Daedalus 88, an aircraft powered by a bicycle-type drive mechanism (see Figure 7.42). His useful power output for the 234-min trip was about 350 W. Using the efficiency for cycling from Table 7.2, calculate the food energy in kilojoules he metabolized during the flight.

View solution

Problem 56

The swimmer shown in Figure 7.43 exerts an average horizontal backward force of 80.0 N with his arm during each 1.80 m long stroke. (a) What is his work output in each stroke? (b) Calculate the power output of his arms if he does 120 strokes per minute.

View solution

Problem 57

Mountain climbers carry bottled oxygen when at very high altitudes. (a) Assuming that a mountain climber uses oxygen at twice the rate for climbing 116 stairs per minute (because of low air temperature and winds), calculate how many liters of oxygen a climber would need for 10.0 h of climbing. (These are liters at sea level.) Note that only 40% of the inhaled oxygen is utilized; the rest is exhaled. (b) How much useful work does the climber do if he and his equipment have a mass of 90.0 kg and he gains 1000 m of altitude? (c) What is his efficiency for the 10.0-h climb?

View solution

Problem 58

The awe-inspiring Great Pyramid of Cheops was built more than 4500 years ago. Its square base, originally 230 m on a side, covered 13.1 acres, and it was 146 m high, with a mass of about 7×109 kg7\times 10^{9}\textrm{ kg} . (The pyramid’s dimensions are slightly different today due to quarrying and some sagging.) Historians estimate that 20,000 workers spent 20 years to construct it, working 12-hour days, 330 days per year. (a) Calculate the gravitational potential energy stored in the pyramid, given its center of mass is at one-fourth its height. (b) Only a fraction of the workers lifted blocks; most were involved in support services such as building ramps (see Figure 7.44), bringing food and water, and hauling blocks to the site. Calculate the efficiency of the workers who did the lifting, assuming there were 1000 of them and they consumed food energy at the rate of 300 kcal/h. What does your answer imply about how much of their work went into block-lifting, versus how much work went into friction and lifting and lowering their own bodies? (c) Calculate the mass of food that had to be supplied each day, assuming that the average worker required 3600 kcal per day and that their diet was 5% protein, 60% carbohydrate, and 35% fat. (These proportions neglect the mass of bulk and nondigestible materials consumed.)

View solution

Problem 59

(a) How long can you play tennis on the 800 kJ (about 200 kcal) of energy in a candy bar? (b) Does this seem like a long time? Discuss why exercise is necessary but may not be sufficient to cause a person to lose weight.

View solution

Section 7.9: World Energy Use

Problem 60

(a) Calculate the force the woman in Figure 7.45 exerts to do a push-up at constant speed, taking all data to be known to three digits. (b) How much work does she do if her center of mass rises 0.240 m? (c) What is her useful power output if she does 25 push-ups in 1 min? (Should work done lowering her body be included? See the discussion of useful work in Work, Energy, and Power in Humans.

View solution

Problem 61

A 75.0-kg cross-country skier is climbing a 3.03.0^\circ slope at a constant speed of 2.00 m/s and encounters air resistance of 25.0 N. Find his power output for work done against the gravitational force and air resistance. (b) What average force does he exert backward on the snow to accomplish this? (c) If he continues to exert this force and to experience the same air resistance when he reaches a level area, how long will it take him to reach a velocity of 10.0 m/s?

View solution

Problem 62

The 70.0-kg swimmer in Figure 7.43 starts a race with an initial velocity of 1.25 m/s and exerts an average force of 80.0 N backward with his arms during each 1.80 m long stroke. (a) What is his initial acceleration if water resistance is 45.0 N? (b) What is the subsequent average resistance force from the water during the 5.00 s it takes him to reach his top velocity of 2.50 m/s? (c) Discuss whether water resistance seems to increase linearly with velocity.

View solution

Problem 63

A toy gun uses a spring with a force constant of 300 N/m to propel a 10.0-g steel ball. If the spring is compressed 7.00 cm and friction is negligible: (a) How much force is needed to compress the spring? (b) To what maximum height can the ball be shot? (c) At what angles above the horizontal may a child aim to hit a target 3.00 m away at the same height as the gun? (d) What is the gun’s maximum range on level ground?

View solution

Problem 64

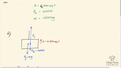
Integrated Concepts: (a) What force must be supplied by an elevator cable to produce an acceleration of 0.800 m/s20.800\textrm{ m/s}^2 against a 200-N frictional force, if the mass of the loaded elevator is 1500 kg? (b) How much work is done by the cable in lifting the elevator 20.0 m? (c) What is the final speed of the elevator if it starts from rest? (d) How much work went into thermal energy?

View solution

Problem 65

A car advertisement claims that its 900-kg car accelerated from rest to 30.0 m/s and drove 100 km, gaining 3.00 km in altitude, on 1.0 gal of gasoline. The average force of friction including air resistance was 700 N. Assume all values are known to three significant figures. (a) Calculate the car’s efficiency. (b) What is unreasonable about the result? (c) Which premise is unreasonable, or which premises are inconsistent?

View solution

Problem 66

Body fat is metabolized, supplying 9.30 kcal/g, when dietary intake is less than needed to fuel metabolism. The manufacturers of an exercise bicycle claim that you can lose 0.500 kg of fat per day by vigorously exercising for 2.00 h per day on their machine. (a) How many kcal are supplied by the metabolization of 0.500 kg of fat? (b) Calculate the kcal/min that you would have to utilize to metabolize fat at the rate of 0.500 kg in 2.00 h. (c) What is unreasonable about the results? (d) Which premise is unreasonable, or which premises are inconsistent?

View solution

Problem 69

A 105-kg basketball player crouches down 0.400 m while waiting to jump. After exerting a force on the floor through this 0.400 m, his feet leave the floor and his center of gravity rises 0.950 m above its normal standing erect position. (a) Using energy considerations, calculate his velocity when he leaves the floor. (b) What average force did he exert on the floor? (Do not neglect the force to support his weight as well as that to accelerate him.) (c) What was his power output during the acceleration phase?

View solution