Chapter 5

Chapter thumbnail
Total hip replacement surgery has become a common procedure. The head (or ball) of the patient's femur fits into a cup that has a hard plastic-like inner lining.

Chapter 5 : Further applications of Newton's Laws: Friction, Drag, and Elasticity - all with Video Solutions

Problems & Exercises

Section 5.1: Friction

Problem 1

A physics major is cooking breakfast when he notices that the frictional force between his steel spatula and his Teflon frying pan is only 0.200 N. Knowing the coefficient of kinetic friction between the two materials, he quickly calculates the normal force. What is it?

View solution

Problem 2

(a) When rebuilding her car's engine, a physics major must exert 300 N of force to insert a dry steel piston into a steel cylinder. What is the magnitude of the normal force between the piston and cylinder? (b) What is the magnitude of the force would she have to exert if the steel parts were oiled?

View solution

Problem 3

(a) What is the maximum frictional force in the knee joint of a person who supports 66.0 kg of her mass on that knee? (b) During strenuous exercise it is possible to exert forces to the joints that are easily ten times greater than the weight being supported. What is the maximum force of friction under such conditions? The frictional forces in joints are relatively small in all circumstances except when the joints deteriorate, such as from injury or arthritis. Increased frictional forces can cause further damage and pain.

View solution

Problem 4

Suppose you have a 120-kg wooden crate resting on a wood floor. (a) What maximum force can you exert horizontally on the crate without moving it? (b) If you continue to exert this force once the crate starts to slip, what will the magnitude of its acceleration then be?

View solution

Problem 5

(a) If half of the weight of a small 1.00×103 kg1.00 \times 10^3 \textrm{ kg} utility truck is supported by its two drive wheels, what is the magnitude of the maximum acceleration it can achieve on dry concrete? (b) Will a metal cabinet lying on the wooden bed of the truck slip if it accelerates at this rate? (c) Solve both problems assuming the truck has four-wheel drive.

View solution

Problem 6

A team of eight dogs pulls a sled with waxed wood runners on wet snow (mush!). The dogs have average masses of 19.0 kg, and the loaded sled with its rider has a mass of 210 kg. (a) Calculate the magnitude of the acceleration starting from rest if each dog exerts an average force of 185 N backward on the snow. (b) What is the magnitude of the acceleration once the sled starts to move? (c) For both situations, calculate the magnitude of the force in the coupling between the dogs and the sled.

View solution

Problem 7

Consider the 65.0-kg ice skater being pushed by two others shown in Figure 5.21. (a) Find the direction and magnitude of FtotF_{tot}, the total force exerted on her by the others, given that the magnitudes F1F_1 and F2F_2 are 26.4 N and 18.6 N, respectively. (b) What is her initial acceleration if she is initially stationary and wearing steel-bladed skates that point in the direction of FtotF_{tot}? (c) What is her acceleration assuming she is already moving in the direction of FtotF_{tot}? (Remember that friction always acts in the direction opposite that of motion or attempted motion between surfaces in contact.)

View solution

Problem 8

Show that the acceleration of any object down a frictionless incline that makes an angle θ\theta with the horizontal is a=gsinθa = g \sin{\theta} . (Note that this acceleration is independent of mass.)

View solution

Problem 9

Show that the acceleration of any object down an incline where friction behaves simply (that is, where fk=μkN)f_k = \mu_kN) is a=g(sinθμkcosθ)a = g(\sin\theta - \mu_k \cos\theta). Note that the acceleration is independent of mass and reduces to the expression found in the previous problem when friction becomes negligibly small (μk=0\mu_k = 0).

View solution

Problem 10

Calculate the deceleration of a snow boarder going up a 5.05.0^\circ, slope assuming the coefficient of friction for waxed wood on wet snow. The result of Exercise 5.9 may be useful, but be careful to consider the fact that the snow boarder is going uphill. Explicitly show how you follow the steps in Problem-Solving Strategies.

View solution

Problem 11

(a) Calculate the acceleration of a skier heading down a 10.010.0^\circ slope, assuming the coefficient of friction for waxed wood on wet snow. (b) Find the angle of the slope down which this skier could coast at a constant velocity. You can neglect air resistance in both parts, and you will find the result of Exercise 5.9 to be useful. Explicitly show how you follow the steps in the Problem-Solving Strategies.

View solution

Problem 12

If an object is to rest on an incline without slipping, then friction must equal the component of the weight of the object parallel to the incline. This requires greater and greater friction for steeper slopes. Show that the maximum angle of an incline above the horizontal for which an object will not slide down is θ=tan1μs\theta = \tan^{-1}{\mu_s} . You may use the result of the previous problem. Assume that a=0a = 0 and that static friction has reached its maximum value.

View solution

Problem 13

Calculate the maximum deceleration of a car that is heading down a slope (one that makes an angle of 66^\circ with the horizontal) under the following road conditions. You may assume that the weight of the car is evenly distributed on all four tires and that the coefficient of static friction is involved—that is, the tires are not allowed to slip during the deceleration. (Ignore rolling.) Calculate for a car: (a) On dry concrete. (b) On wet concrete. (c) On ice, assuming that μs=0.100\mu_s = 0.100, the same as for shoes on ice.

View solution

Problem 14

Calculate the maximum acceleration of a car that is heading up a 44^\circ slope (one that makes an angle of 44^\circ with the horizontal) under the following road conditions. Assume that only half the weight of the car is supported by the two drive wheels and that the coefficient of static friction is involved—that is, the tires are not allowed to slip during the acceleration. (Ignore rolling.) (a) On dry concrete. (b) On wet concrete. (c) On ice, assuming that μs=0.100\mu_s = 0.100 , the same as for shoes on ice.

View solution

Problem 15

Repeat Exercise 5.14 for a car with four-wheel drive.

Exercise 5.14

Calculate the maximum acceleration of a car that is heading up a 44^\circ slope (one that makes an angle of 44^\circ with the horizontal) under the following road conditions. Assume that only half the weight of the car is supported by the two drive wheels and that the coefficient of static friction is involved—that is, the tires are not allowed to slip during the acceleration. (Ignore rolling.) (a) On dry concrete. (b) On wet concrete. (c) On ice, assuming that μs=0.100\mu_s = 0.100, the same as for shoes on ice.

View solution

Problem 16

A freight train consists of two 8.00×105 kg8.00\times 10^{5}\textrm{ kg} engines and 45 cars with average masses of 5.50×105 kg5.50\times 10^{5}\textrm{ kg}. (a) What force must each engine exert backward on the track to accelerate the train at a rate of 5.00×102 m/s25.00 \times 10^{-2}\textrm{ m/s}^2 if the force of friction is 7.50×105 N7.50\times 10^{5}\textrm{ N}, assuming the engines exert identical forces? This is not a large frictional force for such a massive system. Rolling friction for trains is small, and consequently trains are very energy-efficient transportation systems. (b) What is the magnitude of the force in the coupling between the 37th and 38th cars (this is the force each exerts on the other), assuming all cars have the same mass and that friction is evenly distributed among all of the cars and engines?

View solution

Problem 17

Consider the 52.0-kg mountain climber in Figure 5.22. (a) Find the tension in the rope and the force that the mountain climber must exert with her feet on the vertical rock face to remain stationary. Assume that the force is exerted parallel to her legs. Also, assume negligible force exerted by her arms. (b) What is the minimum coefficient of friction between her shoes and the cliff?

View solution

Problem 18

A contestant in a winter sporting event pushes a 45.0-kg block of ice across a frozen lake as shown in Figure 5.23(a). (a) Calculate the minimum force F he must exert to get the block moving. (b) What is the magnitude of its acceleration once it starts to move, if that force is maintained?

View solution

Problem 19

Repeat Exercise 5.18 with the contestant pulling the block of ice with a rope over his shoulder at the same angle above the horizontal as shown in Figure 5.23 (b).

Exercise 5.18

A contestant in a winter sporting event pushes a 45.0-kg block of ice across a frozen lake as shown in Figure 5.23(a). (a) Calculate the minimum force FF he must exert to get the block moving. (b) What is the magnitude of its acceleration once it starts to move, if that force is maintained?

View solution

Section 5.2: Drag Forces

Problem 20

The terminal velocity of a person falling in air depends upon the weight and the area of the person facing the fluid. Find the terminal velocity (in meters per second and kilometers per hour) of an 80.0-kg skydiver falling in a pike (headfirst) position with a surface area of 0.140 m20.140 \textrm{ m}^2.

View solution

Problem 21

A 60-kg and a 90-kg skydiver jump from an airplane at an altitude of 6000 m, both falling in the pike position. Make some assumption on their frontal areas and calculate their terminal velocities. How long will it take for each skydiver to reach the ground (assuming the time to reach terminal velocity is small)? Assume all values are accurate to three significant digits.

View solution

Problem 22

A 560 g squirrel with a surface area of 930 cm2930 \textrm{ cm}^2 falls from a 5.0-m tree to the ground. Estimate its terminal velocity. (Use a drag coefficient for a horizontal skydiver.) What will be the velocity of a 56-kg person hitting the ground, assuming no drag contribution in such a short distance?

View solution

Problem 23

To maintain a constant speed, the force provided by a car's engine must equal the drag force plus the force of friction of the road (the rolling resistance). (a) What are the magnitudes of drag forces at 70 km/h and 100 km/h for a Toyota Camry? (Drag area is 0.70 m20.70 \textrm{ m}^2) (b) What is the magnitude of drag force at 70 km/h and 100 km/h for a Hummer H2? (Drag area is 2.44 m22.44 \textrm{ m}^2) Assume all values are accurate to three significant digits.

View solution

Problem 25

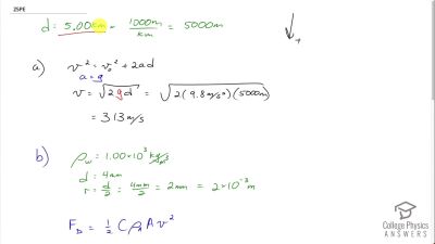
Calculate the speed a spherical rain drop would achieve falling from 5.00 km (a) in the absence of air drag (b) with air drag. Take the size across of the drop to be 4 mm, the density to be 1.00×103 kg/m31.00 \times 10^3 \textrm{ kg/m}^3, and the surface area to be πr2\pi r^2.

View solution

Problem 27

Find the terminal velocity of a spherical bacterium (diameter 2.00 μm2.00 \textrm{ }\mu\textrm{m}) falling in water. You will first need to note that the drag force is equal to the weight at terminal velocity. Take the density of the bacterium to be 1.10×103 kg/m31.10 \times 10^3 \textrm{ kg/m}^3.

View solution

Problem 28

Stokes' law describes sedimentation of particles in liquids and can be used to measure viscosity. Particles in liquids achieve terminal velocity quickly. One can measure the time it takes for a particle to fall a certain distance and then use Stokes' law to calculate the viscosity of the liquid. Suppose a steel ball bearing (density 7.8×103 kg/m37.8 \times 10^{3}\textrm{ kg/m}^3 , diameter 3.0 mm ) is dropped in a container of motor oil. It takes 12 s to fall a distance of 0.60 m. Calculate the viscosity of the oil.

View solution

Section 5.3: Elasticity: Stress and Strain

Problem 29

During a circus act, one performer swings upside down hanging from a trapeze holding another, also upside-down, performer by the legs. If the upward force on the lower performer is three times her weight, how much do the bones (the femurs) in her upper legs stretch? You may assume each is equivalent to a uniform rod 35.0 cm long and 1.80 cm in radius. Her mass is 60.0 kg.

View solution

Problem 30

During a wrestling match, a 150 kg wrestler briefly stands on one hand during a maneuver designed to perplex his already moribund adversary. By how much does the upper arm bone shorten in length? The bone can be represented by a uniform rod 38.0 cm in length and 2.10 cm in radius.

View solution

Problem 31

(a) The “lead” in pencils is a graphite composition with a Young's modulus of about 1×109 N/m21 \times 10^9 \textrm{ N/m}^2. Calculate the change in length of the lead in an automatic pencil if you tap it straight into the pencil with a force of 4.0 N. The lead is 0.50 mm in diameter and 60 mm long. (b) Is the answer reasonable? That is, does it seem to be consistent with what you have observed when using pencils?

View solution

Problem 32

TV broadcast antennas are the tallest artificial structures on Earth. In 1987, a 72.0-kg physicist placed himself and 400 kg of equipment at the top of one 610-m high antenna to perform gravity experiments. By how much was the antenna compressed, if we consider it to be equivalent to a steel cylinder 0.150 m in radius?

View solution

Problem 33

(a) By how much does a 65.0-kg mountain climber stretch her 0.800-cm diameter nylon rope when she hangs 35.0 m below a rock outcropping? (b) Does the answer seem to be consistent with what you have observed for nylon ropes? Would it make sense if the rope were actually a bungee cord?

View solution

Problem 34

A 20.0-m tall hollow aluminum flagpole is equivalent in strength to a solid cylinder 4.00 cm in diameter. A strong wind bends the pole much as a horizontal force of 900 N exerted at the top would. How far to the side does the top of the pole flex?

View solution

Problem 35

As an oil well is drilled, each new section of drill pipe supports its own weight and that of the pipe and drill bit beneath it. Calculate the stretch in a new 6.00 m length of steel pipe that supports 3.00 km of pipe having a mass of 20.0 kg/m and a 100-kg drill bit. The pipe is equivalent in strength to a solid cylinder 5.00 cm in diameter.

View solution

Problem 36

Calculate the force a piano tuner applies to stretch a steel piano wire 8.00 mm, if the wire is originally 0.850 mm in diameter and 1.35 m long.

View solution

Problem 37

A vertebra is subjected to a shearing force of 500 N. Find the shear deformation, taking the vertebra to be a cylinder 3.00 cm high and 4.00 cm in diameter.

View solution

Problem 38

A disk between vertebrae in the spine is subjected to a shearing force of 600 N. Find its shear deformation, taking it to have the shear modulus of 1×109 N/m21\times 10^{9}\textrm{ N/m}^2. The disk is equivalent to a solid cylinder 0.700 cm high and 4.00 cm in diameter.

View solution

Problem 39

When using a pencil eraser, you exert a vertical force of 6.00 N at a distance of 2.00 cm from the hardwood-eraser joint. The pencil is 6.00 mm in diameter and is held at an angle of 2020^\circ to the horizontal. (a) By how much does the wood flex perpendicular to its length? (b) How much is it compressed lengthwise?

View solution

Problem 40

To consider the effect of wires hung on poles, we take data from Example 4.8, in which tensions in wires supporting a traffic light were calculated. The left wire made an angle 30.030.0^\circ below the horizontal with the top of its pole and carried a tension of 108 N. The 12.0 m tall hollow aluminum pole is equivalent in strength to a 4.50 cm diameter solid cylinder. (a) How far is it bent to the side? (b) By how much is it compressed?

View solution

Problem 41

A farmer making grape juice fills a glass bottle to the brim and caps it tightly. The juice expands more than the glass when it warms up, in such a way that the volume increases by 0.2% (that is, ΔVVo=2×103\dfrac{\Delta V}{V_o} = 2 \times 10^{-3}) relative to the space available. Calculate the magnitude of the normal force exerted by the juice per square centimeter if its bulk modulus is 1.8×109 N/m21.8 \times 10^9 \textrm{ N/m}^2, assuming the bottle does not break. In view of your answer, do you think the bottle will survive?

View solution

Problem 42

(a) When water freezes, its volume increases by 9.05% (that is, ΔVVo=9.05=×102\dfrac{\Delta V}{V_o} = 9.05=\times 10^{-2}). What force per unit area is water capable of exerting on a container when it freezes? (It is acceptable to use the bulk modulus of water in this problem.) (b) Is it surprising that such forces can fracture engine blocks, boulders, and the like?

View solution

Problem 43

This problem returns to the tightrope walker studied in Example 4.6, who created a tension of 3.94×103 N3.94 \times 10^3 \textrm{ N} in a wire making an angle 5.05.0^\circ below the horizontal with each supporting pole. Calculate how much this tension stretches the steel wire if it was originally 15 m long and 0.50 cm in diameter.

View solution

Problem 44

The pole in Figure 5.24 is at a 90.090.0^\circ bend in a power line and is therefore subjected to more shear force than poles in straight parts of the line. The tension in each line is 4.00×104 N4.00 \times 10^{4}\textrm{ N}, at the angles shown. The pole is 15.0 m tall, has an 18.0 cm diameter, and can be considered to have half the strength of hardwood. (a) Calculate the compression of the pole. (b) Find how much it bends and in what direction. (c) Find the tension in a guy wire used to keep the pole straight if it is attached to the top of the pole at an angle of 30.030.0^\circ with the vertical. (Clearly, the guy wire must be in the opposite direction of the bend.)

View solution

Test Prep for AP® Courses

Section 5.1: Friction

Problem 1 (AP)

When a force of 20 N is applied to a stationary box weighing 40 N, the box does not move. This means the coefficient of static friction:
  1. is equal to 0.5.

  2. is greater than 0.5.

  3. is less than 0.5.

  4. cannot be determined.

View solution

Problem 2 (AP)

A 2-kg block slides down a ramp which is at an incline of 2525^\circ. If the frictional force is 4.86 N, what is the coefficient of friction? At what incline will the box slide at a constant velocity? Assume g=10 m/2g = 10 \textrm{ m/}^2.

View solution

Problem 3 (AP)

A block is given a short push and then slides with constant friction across a horizontal floor. Which statement best explains the direction of the force that friction applies on the moving block?

  1. Friction will be in the same direction as the block's motion because molecular interactions between the block and the floor will deform the block in the direction of motion.

  2. Friction will be in the same direction as the block's motion because thermal energy generated at the interface between the block and the floor adds kinetic energy to the block.

  3. Friction will be in the opposite direction of the block's motion because molecular interactions between the block and the floor will deform the block in the opposite direction of motion.

  4. Friction will be in the opposite direction of the block's motion because thermal energy generated at the interface between the block and the floor converts some of the block's kinetic energy to potential energy.

View solution

Problem 4 (AP)

A student pushes a cardboard box across a carpeted floor and afterwards notices that the bottom of the box feels warm. Explain how interactions between molecules in the cardboard and molecules in the carpet produced this heat.

View solution