Chapter 4

Chapter thumbnail
Newton’s laws of motion describe the motion of the dolphin’s path. This photo was taken at the Lisbon Zoo.

Chapter 4 : Dynamics: Force and Newton's Laws of Motion - all with Video Solutions

Problems & Exercises

Section 4.3: Newton's Second Law of Motion: Concept of a System

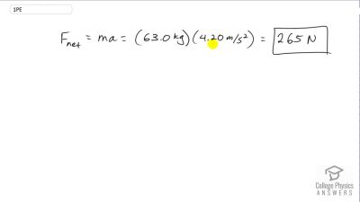
Problem 2

A 63.0 kg sprinter accelerates at a rate of 4.20 m/s24.20 \textrm{ m/s}^2 for 20 m, and then maintains that velocity for the remainder of the 100-m dash, what will be his time for the race?

View solution

Problem 3

A cleaner pushes a 4.50-kg laundry cart in such a way that the net external force on it is 60.0 N. Calculate the magnitude of its acceleration.

View solution

Problem 4

Since astronauts in orbit are apparently weightless, a clever method of measuring their masses is needed to monitor their mass gains or losses to adjust diets. One way to do this is to exert a known force on an astronaut and measure the acceleration produced. Suppose a net external force of 50.0 N is exerted and the astronaut’s acceleration is measured to be0.893 m/s20.893\textrm{ m/s}^2 . (a) Calculate her mass. (b) By exerting a force on the astronaut, the vehicle in which they orbit experiences an equal and opposite force. Discuss how this would affect the measurement of the astronaut’s acceleration. Propose a method in which recoil of the vehicle is avoided.

View solution

Problem 5

In Figure 4.7, the net external force on the 24-kg mower is stated to be 51 N. If the force of friction opposing the motion is 24 N, what force (in newtons) is the person exerting on the mower? Suppose the mower is moving at 1.5 m/s when the force is removed. How far will the mower go before stopping?

View solution

Problem 6

The same rocket sled drawn in Figure 4.30 is decelerated at a rate of 196 m/s2196 \textrm{ m/s}^2. What force is necessary to produce this deceleration? Assume that the rockets are off. The mass of the system is 2100 kg.

View solution

Problem 7

(a) If the rocket sled shown in Figure 4.31 starts with only one rocket burning, what is the magnitude of its acceleration? Assume that the mass of the system is 2100 kg, the thrust T is 2.4×104 N2.4 \times 10^4 \textrm{ N}, and the force of friction opposing the motion is known to be 650 N. (b) Why is the acceleration not one- fourth of what it is with all rockets burning?

View solution

Problem 8

What is the deceleration of the rocket sled if it comes to rest in 1.1 s from a speed of 1000 km/h? (Such deceleration caused one test subject to black out and have temporary blindness.)

View solution

Problem 9

Suppose two children push horizontally, but in exactly opposite directions, on a third child in a wagon. The first child exerts a force of 75.0 N, the second a force of 90.0 N, friction is 12.0 N, and the mass of the third child plus wagon is 23.0 kg. (a) What is the system of interest if the acceleration of the child in the wagon is to be calculated? (b) Draw a free-body diagram, including all forces acting on the system. (c) Calculate the acceleration. (d) What would the acceleration be if friction were 15.0 N?

View solution

Problem 10

A powerful motorcycle can produce an acceleration of 3.50 m/s23.50\textrm{ m/s}^2 while traveling at 90.0 km/h. At that speed the forces resisting motion, including friction and air resistance, total 400 N. (Air resistance is analogous to air friction. It always opposes the motion of an object.) What is the magnitude of the force the motorcycle exerts backward on the ground to produce its acceleration if the mass of the motorcycle with rider is 245 kg?

View solution

Problem 11

The rocket sled shown in Figure 4.32 accelerates at a rate of 49.0 m/s249.0 \textrm{ m/s}^2. Its passenger has a mass of 75.0 kg. (a) Calculate the horizontal component of the force the seat exerts against his body. Compare this with his weight by using a ratio. (b) Calculate the direction and magnitude of the total force the seat exerts against his body.

View solution

Problem 12

The rocket sled shown in Figure 4.33 decelerates at a rate of 201 m/s2201 \textrm{ m/s}^2. Its passenger has a mass of 75.0 kg. (a) Calculate the horizontal component of the force the seat exerts against his body. Compare this with his weight by using a ratio. (b) Calculate the direction and magnitude of the total force the seat exerts against his body. In this problem, the forces are exerted by the seat and restraining belts.

View solution

Problem 13

The weight of an astronaut plus his space suit on the Moon is only 250 N. How much do they weigh on Earth? What is the mass on the Moon? On Earth?

View solution

Problem 14

Suppose the mass of a fully loaded module in which astronauts take off from the Moon is 10,000 kg. The thrust of its engines is 30,000 N. (a) Calculate its the magnitude of acceleration in a vertical takeoff from the Moon. (b) Could it lift off from Earth? If not, why not? If it could, calculate the magnitude of its acceleration.

View solution

Section 4.4: Newton's Third Law of Motion: Symmetry in Forces

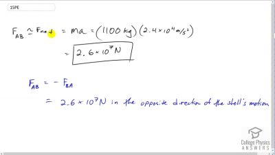
Problem 15

What net external force is exerted on a 1100-kg artillery shell fired from a battleship if the shell is accelerated at 2.40×104 m/s22.40 \times 10^4 \textrm{ m/s}^2? What is the magnitude of the force exerted on the ship by the artillery shell?

View solution

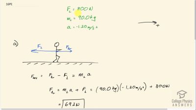
Problem 16

A brave but inadequate rugby player is being pushed backward by an opposing player who is exerting a force of 800 N on him. The mass of the losing player plus equipment is 90.0 kg, and he is accelerating at 1.20 m/s21.20\textrm{ m/s}^2 backward. (a) What is the force of friction between the losing player’s feet and the grass? (b) What force does the winning player exert on the ground to move forward if his mass plus equipment is 110 kg? (c) Draw a sketch of the situation showing the system of interest used to solve each part. For this situation, draw a free-body diagram and write the net force equation.

View solution

Section 4.5: Normal, Tension, and Other Examples of Forces

Problem 17

Two teams of nine members each engage in a tug of war. Each of the first team’s members has an average mass of 68 kg and exerts an average force of 1350 N horizontally. Each of the second team’s members has an average mass of 73 kg and exerts an average force of 1365 N horizontally. (a) What is magnitude of the acceleration of the two teams? (b) What is the tension in the section of rope between the teams?

View solution

Problem 18

What force does a trampoline have to apply to a 45.0-kg gymnast to accelerate her straight up at 7.50 m/s27.50 \textrm{ m/s}^2? Note that the answer is independent of the velocity of the gymnast—she can be moving either up or down, or be stationary.

View solution

Problem 19

(a) Calculate the tension in a vertical strand of spider web if a spider of mass 8.00×105 kg8.00 \times 10^{-5} \textrm{ kg} hangs motionless on it. (b) Calculate the tension in a horizontal strand of spider web if the same spider sits motionless in the middle of it much like the tightrope walker in Figure 4.17. The strand sags at an angle of 1212^\circ below the horizontal. Compare this with the tension in the vertical strand (find their ratio).

View solution

Problem 20

Suppose a 60.0-kg gymnast climbs a rope. (a) What is the tension in the rope if he climbs at a constant speed? (b) What is the tension in the rope if he accelerates upward at a rate of 1.50 m/s21.50 \textrm{ m/s}^2?

View solution

Problem 21

Show that, as stated in the text, a force FF_{\bot}, exerted on a flexible medium at its center and perpendicular to its length (such as on the tightrope wire in Figure 4.17) gives rise to a tension of magnitude T=F2sinθT = \dfrac{F_{\bot}}{2\sin\theta}

View solution

Problem 22

Consider the baby being weighed in Figure 4.34. (a) What is the mass of the child and basket if a scale reading of 55 N is observed? (b) What is the tension T1T_1 in the cord attaching the baby to the scale? (c) What is the tension T2T_2 in the cord attaching the scale to the ceiling, if the scale has a mass of 0.500 kg? (d) Draw a sketch of the situation indicating the system of interest used to solve each part. The masses of the cords are negligible.

View solution

Section 4.6: Problem-Solving Strategies

Problem 23

A 5.00×105 kg5.00 \times 10^5 \textrm{ kg} rocket is accelerating straight up. Its engines produce 1.250×107 N1.250 \times 10^7 \textrm{ N} of thrust, and air resistance is 4.50×106 N4.50 \times 10^6 \textrm{ N}. What is the rocket’s acceleration? Explicitly show how you follow the steps in the Problem-Solving Strategy for Newton’s laws of motion.

View solution

Problem 24

The wheels of a midsize car exert a force of 2100 N backward on the road to accelerate the car in the forward direction. If the force of friction including air resistance is 250 N and the acceleration of the car is 1.80 m/sw1.80 \textrm{ m/s}^w , what is the mass of the car plus its occupants? Explicitly show how you follow the steps in the Problem-Solving Strategy for Newton’s laws of motion. For this situation, draw a free-body diagram and write the net force equation.

View solution

Problem 25

Calculate the force a 70.0-kg high jumper must exert on the ground to produce an upward acceleration 4.00 times the acceleration due to gravity. Explicitly show how you follow the steps in the Problem-Solving Strategy for Newton’s laws of motion.

View solution

Problem 26

When landing after a spectacular somersault, a 40.0-kg gymnast decelerates by pushing straight down on the mat. Calculate the force she must exert if her deceleration is 7.00 times the acceleration due to gravity. Explicitly show how you follow the steps in the Problem-Solving Strategy for Newton’s laws of motion.

View solution

Problem 27

A freight train consists of two 8.00×104 kg8.00 \times 10^4 \textrm{ kg} engines and 45 cars with average masses of 5.50×104 kg5.50 \times 10^4 \textrm{ kg}. (a) What force must each engine exert backward on the track to accelerate the train at a rate of 5.00×102 m/s25.00 \times 10^{-2} \textrm{ m/s}^2 if the force of friction is 7.50×105 N7.50 \times 10^5 \textrm{ N}, assuming the engines exert identical forces? This is not a large frictional force for such a massive system. Rolling friction for trains is small, and consequently trains are very energy-efficient transportation systems. (b) What is the force in the coupling between the 37th and 38th cars (this is the force each exerts on the other), assuming all cars have the same mass and that friction is evenly distributed among all of the cars and engines?

View solution

Problem 28

Commercial airplanes are sometimes pushed out of the passenger loading area by a tractor. (a) An 1800-kg tractor exerts a force of 1.75×104 N1.75\times 10^{4}\textrm{ N} backward on the pavement, and the system experiences forces resisting motion that total 2400 N. If the acceleration is 0.150 m/s20.150 \textrm{ m/s}^2, what is the mass of the airplane? (b) Calculate the force exerted by the tractor on the airplane, assuming 2200 N of the friction is experienced by the airplane. (c) Draw two sketches showing the systems of interest used to solve each part, including the free-body diagrams for each.

View solution

Problem 29

A 1100-kg car pulls a boat on a trailer. (a) What total force resists the motion of the car, boat, and trailer, if the car exerts a 1900-N force on the road and produces an acceleration of 0.550 m/s20.550 \textrm{ m/s}^2? The mass of the boat plus trailer is 700 kg. (b) What is the force in the hitch between the car and the trailer if 80% of the resisting forces are experienced by the boat and trailer?

View solution

Problem 30

(a) Find the magnitudes of the forces F1\vec{F_1} and F2\vec{F_2} that add to give the total force Ftot\vec{F_{\textrm{tot}}} shown in Figure 4.35. This may be done either graphically or by using trigonometry. (b) Show graphically that the same total force is obtained independent of the order of addition of F1\vec{F_1} and F2\vec{F_2} . (c) Find the direction and magnitude of some other pair of vectors that add to give Ftot\vec{F_{\textrm{tot}}} . Draw these to scale on the same drawing used in part (b) or a similar picture.

View solution

Problem 31

Two children pull a third child on a snow saucer sled exerting forces F1F_1 and F2F_2 as shown from above in Figure 4.35. Find the acceleration of the 49.00-kg sled and child system. Note that the direction of the frictional force is unspecified; it will be in the opposite direction of the sum of F1F_1 and F2F_2.

View solution

Problem 32

Suppose your car was mired deeply in the mud and you wanted to use the method illustrated in Figure 4.36 to pull it out. (a) What force would you have to exert perpendicular to the center of the rope to produce a force of 12,000 N on the car if the angle is 2.002.00^\circ? In this part, explicitly show how you follow the steps in the Problem-Solving Strategy for Newton’s laws of motion. (b) Real ropes stretch under such forces. What force would be exerted on the car if the angle increases to 7.007.00^\circ and you still apply the force found in part (a) to its center?

View solution

Problem 33

What force is exerted on the tooth in Figure 4.37 if the tension in the wire is 25.0 N? Note that the force applied to the tooth is smaller than the tension in the wire, but this is necessitated by practical considerations of how force can be applied in the mouth. Explicitly show how you follow steps in the Problem-Solving Strategy for Newton’s laws of motion.

View solution

Problem 34

Figure 4.38 shows Superhero and Trusty Sidekick hanging motionless from a rope. Superhero’s mass is 90.0 kg, while Trusty Sidekick’s is 55.0 kg, and the mass of the rope is negligible. (a) Draw a free-body diagram of the situation showing all forces acting on Superhero, Trusty Sidekick, and the rope. (b) Find the tension in the rope above Superhero. (c) Find the tension in the rope between Superhero and Trusty Sidekick. Indicate on your free-body diagram the system of interest used to solve each part.

View solution

Problem 35

A nurse pushes a cart by exerting a force on the handle at a downward angle 35.035.0^\circ below the horizontal. The loaded cart has a mass of 28.0 kg, and the force of friction is 60.0 N. (a) Draw a free-body diagram for the system of interest. (b) What force must the nurse exert to move at a constant velocity?

View solution

Problem 38

A 1100-kg car pulls a boat on a trailer. (a) What total force resists the motion of the car, boat, and trailer, if the car exerts a 1900-N force on the road and produces an acceleration of 1.20 m/s21.20 \textrm{ m/s}^2? The mass of the boat plus trailer is 700 kg. (b) What is unreasonable about the result? (c) Which premise is unreasonable, and why is it unreasonable?

View solution

Problem 39

(a) What is the initial acceleration of a rocket that has a mass of 1.50 \times 10^6 \textrm{ kg}attakeoff,theenginesofwhichproduceathrustof at takeoff, the engines of which produce a thrust of 2.00 \times 10^6 \textrm{ N}$? Do not neglect gravity. (b) What is unreasonable about the result? (This result has been unintentionally achieved by several real rockets.) (c) Which premise is unreasonable, or which premises are inconsistent? (You may find it useful to compare this problem to the rocket problem earlier in this section.)

View solution

Section 4.7: Further Applications of Newton's Laws of Motion

Problem 40

A flea jumps by exerting a force of 1.20×105 N1.20 \times 10^{-5} \textrm{ N} straight down on the ground. A breeze blowing on the flea parallel to the ground exerts a force of 0.500×106 N0.500 \times 10^{-6}\textrm{ N} on the flea. Find the direction and magnitude of the acceleration of the flea if its mass is 6.00×107 kg6.00 \times 10^{-7}\textrm{ kg}. Do not neglect the gravitational force.

View solution

Problem 41

Two muscles in the back of the leg pull upward on the Achilles tendon, as shown in Figure 4.39. (These muscles are called the medial and lateral heads of the gastrocnemius muscle.) Find the magnitude and direction of the total force on the Achilles tendon. What type of movement could be caused by this force?

View solution

Problem 42

A 76.0-kg person is being pulled away from a burning building as shown in Figure 4.40. Calculate the tension in the two ropes if the person is momentarily motionless. Include a free-body diagram in your solution.

View solution

Problem 43

A 35.0-kg dolphin decelerates from 12.0 to 7.50 m/s in 2.30 s to join another dolphin in play. What average force was exerted to slow him if he was moving horizontally? (The gravitational force is balanced by the buoyant force of the water.)

View solution

Problem 44

Integrated Concepts When starting a foot race, a 70.0-kg sprinter exerts an average force of 650 N backward on the ground for 0.800 s. (a) What is his final speed? (b) How far does he travel?

View solution

Problem 45

Integrated Concepts A large rocket has a mass of 2.00×106 kg2.00 \times 10^6 \textrm{ kg} at takeoff, and its engines produce a thrust of 3.50×107 N3.50 \times 10^7 \textrm{ N}. (a) Find its initial acceleration if it takes off vertically. (b) How long does it take to reach a velocity of 120 km/h straight up, assuming constant mass and thrust? (c) In reality, the mass of a rocket decreases significantly as its fuel is consumed. Describe qualitatively how this affects the acceleration and time for this motion.

View solution

Problem 46

Integrated Concepts: A basketball player jumps straight up for a ball. To do this, he lowers his body 0.300 m and then accelerates through this distance by forcefully straightening his legs. This player leaves the floor with a vertical velocity sufficient to carry him 0.900 m above the floor. (a) Calculate his velocity when he leaves the floor. (b) Calculate his acceleration while he is straightening his legs. He goes from zero to the velocity found in part (a) in a distance of 0.300 m. (c) Calculate the force he exerts on the floor to do this, given that his mass is 110 kg.

View solution

Problem 47

Integrated Concepts: A 2.50-kg fireworks shell is fired straight up from a mortar and reaches a height of 110 m. (a) Neglecting air resistance (a poor assumption, but we will make it for this example), calculate the shell’s velocity when it leaves the mortar. (b) The mortar itself is a tube 0.450 m long. Calculate the average acceleration of the shell in the tube as it goes from zero to the velocity found in (a). (c) What is the average force on the shell in the mortar? Express your answer in newtons and as a ratio to the weight of the shell.

View solution

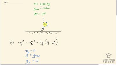
Problem 48

Integrated Concepts A 2.50-kg fireworks shell is fired by a mortar at an angle 10.010.0^\circ from the vertical and reaches a height of 110 m. (a) Neglecting air resistance (a poor assumption, but we will make it for this example), calculate the shell’s velocity when it leaves the mortar. (b) The mortar itself is a tube 0.450 m long. Calculate the average acceleration of the shell in the tube as it goes from zero to the velocity found in (a). (c) What is the average force on the shell in the mortar? Express your answer in newtons and as a ratio to the weight of the shell.

View solution

Problem 49

Integrated Concepts An elevator filled with passengers has a mass of 1700 kg. (a) The elevator accelerates upward from rest at a rate of 1.20 m/s21.20 \textrm{ m/s}^2 for 1.50 s. Calculate the tension in the cable supporting the elevator. (b) The elevator continues upward at constant velocity for 8.50 s. What is the tension in the cable during this time? (c) The elevator decelerates at a rate of 0.600 m/s20.600 \textrm{ m/s}^2 for 3.00 s. What is the tension in the cable during deceleration? (d) How high has the elevator moved above its original starting point, and what is its final velocity?

View solution

Problem 50

Unreasonable Results (a) What is the final velocity of a car originally traveling at 50.0 km/h that decelerates at a rate of 0.400 m/s20.400 \textrm{ m/s}^2 for 50.0 s? (b) What is unreasonable about the result? (c) Which premise is unreasonable, or which premises are inconsistent?

View solution

Problem 51

Unreasonable Results: A 75.0-kg man stands on a bathroom scale in an elevator that accelerates from rest to 30.0 m/s in 2.00 s. (a) Calculate the scale reading in newtons and compare it with his weight. (The scale exerts an upward force on him equal to its reading.) (b) What is unreasonable about the result? (c) Which premise is unreasonable, or which premises are inconsistent?

View solution

Section 4.8: Extended Topic: The Four Basic Forces—An Introduction

Problem 52

(a) What is the strength of the weak nuclear force relative to the strong nuclear force? (b) What is the strength of the weak nuclear force relative to the electromagnetic force? Since the weak nuclear force acts at only very short distances, such as inside nuclei, where the strong and electromagnetic forces also act, it might seem surprising that we have any knowledge of it at all. We have such knowledge because the weak nuclear force is responsible for beta decay, a type of nuclear decay not explained by other forces.

View solution

Problem 53

(a) What is the ratio of the strength of the gravitational force to that of the strong nuclear force? (b) What is the ratio of the strength of the gravitational force to that of the weak nuclear force? (c) What is the ratio of the strength of the gravitational force to that of the electromagnetic force? What do your answers imply about the influence of the gravitational force on atomic nuclei?

View solution

Problem 54

What is the ratio of the strength of the strong nuclear force to that of the electromagnetic force? Based on this ratio, you might expect that the strong force dominates the nucleus, which is true for small nuclei. Large nuclei, however, have sizes greater than the range of the strong nuclear force. At these sizes, the electromagnetic force begins to affect nuclear stability. These facts will be used to explain nuclear fusion and fission later in this text.

View solution