Chapter 24

Chapter thumbnail
Human eyes detect these orange “sea goldie” fish swimming over a coral reef in the blue waters of the Gulf of Eilat (Red Sea) using visible light.

Chapter 24 : Electromagnetic Waves - all with Video Solutions

Problems & Exercises

Section 24.1: Maxwell's Equations: Electromagnetic Waves Predicted and Observed

Problem 1

Verify that the correct value for the speed of light cc is obtained when numerical values for the permeability and permittivity of free space (μo\mu_o and ϵo\epsilon_o) are entered into the equation c=1μoϵoc = \dfrac{1}{\sqrt{\mu_o \epsilon_o}}.

View solution

Problem 2

Show that, when SI units for μ0\mu_0 and ϵ0\epsilon_0 are entered, the units given by the right-hand side of the equation c=1μ0ϵ0c = \dfrac{1}{\sqrt{\mu_0 \epsilon_0}} are m/s.

View solution

Section 24.2: Production of Electromagnetic Waves

Problem 3

What is the maximum electric field strength in an electromagnetic wave that has a maximum magnetic field strength of 5.00×104 T5.00 \times 10^{-4} \textrm{ T} (about 10 times the Earth’s)?

View solution

Problem 4

The maximum magnetic field strength of an electromagnetic field is 5×106 T5\times 10^{-6}\textrm{ T} . Calculate the maximum electric field strength if the wave is traveling in a medium in which the speed of the wave is 0.75c0.75c .

View solution

Problem 5

Verify the units obtained for magnetic field strength BB in Example 24.1 (using the equation B=EcB = \dfrac{E}{c}) are in fact teslas (T).

View solution

Section 24.3: The Electromagnetic Spectrum

Problem 6

(a) Two microwave frequencies are authorized for use in microwave ovens: 900 and 2560 MHz. Calculate the wavelength of each. (b) Which frequency would produce smaller hot spots in foods due to interference effects?

View solution

Problem 7

(a) Calculate the range of wavelengths for AM radio given its frequency range is 540 to 1600 kHz. (b) Do the same for the FM frequency range of 88.0 to 108 MHz.

View solution

Problem 10

Combing your hair leads to excess electrons on the comb. How fast would you have to move the comb up and down to produce red light?

View solution

Problem 11

Electromagnetic radiation having a 15.0 μm15.0 \textrm{ }\mu\textrm{m} wavelength is classified as infrared radiation. What is its frequency?

View solution

Problem 12

Approximately what is the smallest detail observable with a microscope that uses ultraviolet light of frequency 1.20×1015 Hz1.20\times 10^{15}\textrm{ Hz}?

View solution

Problem 13

A radar used to detect the presence of aircraft receives a pulse that has reflected off an object 6×105 s6 \times 10^{-5} \textrm{ s} after it was transmitted. What is the distance from the radar station to the reflecting object?

View solution

Problem 14

Some radar systems detect the size and shape of objects such as aircraft and geological terrain. Approximately what is the smallest observable detail utilizing 500-MHz radar?

View solution

Problem 15

Determine the amount of time it takes for X-rays of frequency 3×1018 Hz3 \times 10^{18} \textrm{ Hz} to travel (a) 1 mm and (b) 1 cm.

View solution

Problem 16

If you wish to detect details of the size of atoms (about 1×1010 m1\times 10^{-10}\textrm{ m}) with electromagnetic radiation, it must have a wavelength of about this size. (a) What is its frequency? (b) What type of electromagnetic radiation might this be?

View solution

Problem 17

If the Sun suddenly turned off, we would not know it until its light stopped coming. How long would that be, given that the Sun is 1.50×1011 m1.50 \times 10^{11} \textrm{ m} away?

View solution

Problem 18

Distances in space are often quoted in units of light years, the distance light travels in one year. (a) How many meters is a light year? (b) How many meters is it to Andromeda, the nearest large galaxy, given that it is 2.00×1062.00\times 10^{6} light years away? (c) The most distant galaxy yet discovered is 12.0×10912.0\times 10^{9} light years away. How far is this in meters?

View solution

Problem 19

A certain 50.0-Hz AC power line radiates an electromagnetic wave having a maximum electric field strength of 13.0 kV/m. (a) What is the wavelength of this very low frequency electromagnetic wave? (b) What is its maximum magnetic field strength?

View solution

Problem 20

During normal beating, the heart creates a maximum 4.00-mV potential across 0.300 m of a person’s chest, creating a 1.00-Hz electromagnetic wave. (a) What is the maximum electric field strength created? (b) What is the corresponding maximum magnetic field strength in the electromagnetic wave? (c) What is the wavelength of the electromagnetic wave?

View solution

Problem 21

(a) The ideal size (most efficient) for a broadcast antenna with one end on the ground is one-fourth the wavelength (λ4\dfrac{\lambda}{4}) of the electromagnetic radiation being sent out. If a new radio station has such an antenna that is 50.0 m high, what frequency does it broadcast most efficiently? Is this in the AM or FM band? (b) Discuss the analogy of the fundamental resonant mode of an air column closed at one end to the resonance of currents on an antenna that is one- fourth their wavelength.

View solution

Problem 22

(a) What is the wavelength of 100-MHz radio waves used in an MRI unit? (b) If the frequencies are swept over a ±1.00\pm 1.00 range centered on 100 MHz, what is the range of wavelengths broadcast?

View solution

Problem 23

(a) What is the frequency of the 193-nm ultraviolet radiation used in laser eye surgery? (b) Assuming the accuracy with which this EM radiation can ablate the cornea is inversely proportional to wavelength, how much more accurate can this UV be than the shortest visible wavelength of light?

View solution

Problem 24

TV-reception antennas for VHF are constructed with cross wires supported at their centers, as shown in Figure 24.27. The ideal length for the cross wires is one-half the wavelength to be received, with the more expensive antennas having one for each channel. Suppose you measure the lengths of the wires for particular channels and find them to be 1.94 and 0.753 m long, respectively. What are the frequencies for these channels?

View solution

Problem 25

Conversations with astronauts on lunar walks had an echo that was used to estimate the distance to the Moon. The sound spoken by the person on Earth was transformed into a radio signal sent to the Moon, and transformed back into sound on a speaker inside the astronaut’s space suit. This sound was picked up by the microphone in the space suit (intended for the astronaut’s voice) and sent back to Earth as a radio echo of sorts. If the round-trip time was 2.60 s, what was the approximate distance to the Moon, neglecting any delays in the electronics?

View solution

Problem 26

Lunar astronauts placed a reflector on the Moon’s surface, off which a laser beam is periodically reflected. The distance to the Moon is calculated from the round-trip time. (a) To what accuracy in meters can the distance to the Moon be determined, if this time can be measured to 0.100 ns? (b) What percent accuracy is this, given the average distance to the Moon is 3.84×108 m3.84\times 10^{8}\textrm{ m} ?

View solution

Problem 27

Radar is used to determine distances to various objects by measuring the round-trip time for an echo from the object. (a) How far away is the planet Venus if the echo time is 1000 s? (b) What is the echo time for a car 75.0 m from a Highway Police radar unit? (c) How accurately (in nanoseconds) must you be able to measure the echo time to an airplane 12.0 km away to determine its distance within 10.0 m?

View solution

Problem 28

(a) Calculate the ratio of the highest to lowest frequencies of electromagnetic waves the eye can see, given the wavelength range of visible light is from 380 to 760 nm. (b) Compare this with the ratio of highest to lowest frequencies the ear can hear.

View solution

Problem 29

(a) Calculate the rate in watts at which heat transfer through radiation occurs (almost entirely in the infrared) from 1.0 m21.0 \textrm{ m}^2 of the Earth’s surface at night. Assume the emissivity is 0.90, the temperature of the Earth is 15C15^\circ\textrm{C}, and that of outer space is 2.7 K. (b) Compare the intensity of this radiation with that coming to the Earth from the Sun during the day, which averages about 800 W/m2800 \textrm{ W/m}^2, only half of which is absorbed. (c) What is the maximum magnetic field strength in the outgoing radiation, assuming it is a continuous wave?

View solution

Section 24.4: Energy in Electromagnetic Waves

Problem 31

Find the intensity of an electromagnetic wave having a peak magnetic field strength of 4.00×109 T4.00 \times 10^{-9} \textrm{ T}

View solution

Problem 32

Assume the helium-neon lasers commonly used in student physics laboratories have power outputs of 0.250 mW. (a) If such a laser beam is projected onto a circular spot 1.00 mm in diameter, what is its intensity? (b) Find the peak magnetic field strength. (c) Find the peak electric field strength.

View solution

Problem 33

An AM radio transmitter broadcasts 50.0 kW of power uniformly in all directions. (a) Assuming all of the radio waves that strike the ground are completely absorbed, and that there is no absorption by the atmosphere or other objects, what is the intensity 30.0 km away? (Hint: Half the power will be spread over the area of a hemisphere.) (b) What is the maximum electric field strength at this distance?

View solution

Problem 34

Suppose the maximum safe intensity of microwaves for human exposure is taken to be 1.00 W/m21.00\textrm{ W/m}^2 . (a) If a radar unit leaks 10.0 W of microwaves (other than those sent by its antenna) uniformly in all directions, how far away must you be to be exposed to an intensity considered to be safe? Assume that the power spreads uniformly over the area of a sphere with no complications from absorption or reflection. (b) What is the maximum electric field strength at the safe intensity? (Note that early radar units leaked more than modern ones do. This caused identifiable health problems, such as cataracts, for people who worked near them.)

View solution

Problem 35

A 2.50-m-diameter university communications satellite dish receives TV signals that have a maximum electric field strength (for one channel) of 7.50 μV/m7.50 \textrm{ }\mu\textrm{V/m} . (See Figure 24.29.) (a) What is the intensity of this wave? (b) What is the power received by the antenna? (c) If the orbiting satellite broadcasts uniformly over an area of 1.50×1013 m21.50 \times 10^{13} \textrm{ m}^2 (a large fraction of North America), how much power does it radiate?

View solution

Problem 36

Lasers can be constructed that produce an extremely high intensity electromagnetic wave for a brief time—called pulsed lasers. They are used to ignite nuclear fusion, for example. Such a laser may produce an electromagnetic wave with a maximum electric field strength of 1.00×1011 V/m1.00\times 10^{11}\textrm{ V/m} for a time of 1.00 ns. (a) What is the maximum magnetic field strength in the wave? (b) What is the intensity of the beam? (c) What energy does it deliver on a 1.00 mm21.00\textrm{ mm}^2 area?

View solution

Problem 37

Show that for a continuous sinusoidal electromagnetic wave, the peak intensity is twice the average intensity (Io=2IaveI_o = 2I_{\textrm{ave}}, using either the fact that Eo=2ErmsE_o = \sqrt{2}E_{\textrm{rms}}, or Bo=2BrmsB_o = \sqrt{2}B_{\textrm{rms}}, where "rms" means average (actually root mean square, a type of average).

View solution

Problem 38

Suppose a source of electromagnetic waves radiates uniformly in all directions in empty space where there are no absorption or interference effects. (a) Show that the intensity is inversely proportional to r2r^2, the distance from the source squared. (b) Show that the magnitudes of the electric and magnetic fields are inversely proportional to rr.

View solution

Problem 39

An LCLC circuit with a 5.00-pF capacitor oscillates in such a manner as to radiate at a wavelength of 3.30 m. (a) What is the resonant frequency? (b) What inductance is in series with the capacitor?

View solution

Problem 40

What capacitance is needed in series with an 800 μH800 \textrm{ }\mu\textrm{H} inductor to form a circuit that radiates a wavelength of 196 m?

View solution

Problem 41

Police radar determines the speed of motor vehicles using the same Doppler-shift technique employed for ultrasound in medical diagnostics. Beats are produced by mixing the double Doppler-shifted echo with the original frequency. If 1.50×109 Hz1.50 \times 10^9 \textrm{ Hz} microwaves are used and a beat frequency of 150 Hz is produced, what is the speed of the vehicle? (Assume the same Doppler-shift formulas are valid with the speed of sound replaced by the speed of light.)

View solution

Problem 42

Assume the mostly infrared radiation from a heat lamp acts like a continuous wave with wavelength 1.50 μm1.50\textrm{ }\mu\textrm{m} . (a) If the lamp’s 200-W output is focused on a person’s shoulder, over a circular area 25.0 cm in diameter, what is the intensity in W/m2\textrm{W/m}^2 ? (b) What is the peak electric field strength? (c) Find the peak magnetic field strength. (d) How long will it take to increase the temperature of the 4.00-kg shoulder by 2.00 C2.00\textrm{ C}^\circ , assuming no other heat transfer and given that its specific heat is 3.47×103 J/kgC3.47\times 10^{3}\textrm{ J/kg}\cdot\textrm{C}^\circ ?

View solution

Problem 43

On its highest power setting, a microwave oven increases the temperature of 0.400 kg of spaghetti by 45.0C45.0\textrm{C}^\circ in 120 s. (a) What was the rate of power absorption by the spaghetti, given that its specific heat is 3.76×103 J/kgC3.76 \times 10^3 \textrm{ J/kg}\cdot\textrm{C}^\circ? (b) Find the average intensity of the microwaves, given that they are absorbed over a circular area 20.0 cm in diameter. (c) What is the peak electric field strength of the microwave? (d) What is its peak magnetic field strength?

View solution

Problem 44

Electromagnetic radiation from a 5.00-mW laser is concentrated on a 1.00 mm21.00\textrm{ mm}^2 area. (a) What is the intensity in W/m2\textrm{W/m}^2 ? (b) Suppose a 2.00-nC static charge is in the beam. What is the maximum electric force it experiences? (c) If the static charge moves at 400 m/s, what maximum magnetic force can it feel?

View solution

Problem 45

A 200-turn flat coil of wire 30.0 cm in diameter acts as an antenna for FM radio at a frequency of 100 MHz. The magnetic field of the incoming electromagnetic wave is perpendicular to the coil and has a maximum strength of 1.00×1012 T1.00 \times 10^{-12} \textrm{ T}. (a) What power is incident on the coil? (b) What average emf is induced in the coil over one-fourth of a cycle? (c) If the radio receiver has an inductance of 2.50 μH2.50 \textrm{ }\mu\textrm{H}, what capacitance must it have to resonate at 100 MHz?

View solution

Problem 46

If electric and magnetic field strengths vary sinusoidally in time, being zero at t=0t=0 , then E=E0sin2πftE = E_0 \sin{2\pi f t} and B=B0sin2πftB = B_0 \sin{2\pi f t} . Let f=1.00 GHzf = 1.00 \textrm{ GHz} here. (a) When are the field strengths first zero? (b) When do they reach their most negative value? (c) How much time is needed for them to complete one cycle?

View solution

Problem 47

A researcher measures the wavelength of a 1.20-GHz electromagnetic wave to be 0.500 m. (a) Calculate the speed at which this wave propagates. (b) What is unreasonable about this result? (c) Which assumptions are unreasonable or inconsistent?

View solution

Problem 48

The peak magnetic field strength in a residential microwave oven is 9.20×105 T9.20\times 10^{-5}\textrm{ T} . (a) What is the intensity of the microwave? (b) What is unreasonable about this result? (c) What is wrong about the premise?

View solution

Problem 49

An LCLC circuit containing a 2.00-H inductor oscillates at such a frequency that it radiates at a 1.00-m wavelength. (a) What is the capacitance of the circuit? (b) What is unreasonable about this result? (c) Which assumptions are unreasonable or inconsistent?

View solution

Problem 50

An LCLC circuit containing a 1.00-pF capacitor oscillates at such a frequency that it radiates at a 300-nm wavelength. (a) What is the inductance of the circuit? (b) What is unreasonable about this result? (c) Which assumptions are unreasonable or inconsistent?

View solution

Test Prep for AP® Courses

Section 24.2: Production of Electromagnetic Waves

Problem 1 (AP)

If an electromagnetic wave is described as having a frequency of 3 GHz, what are its period and wavelength (in a vacuum)?
  1. 3.0×109 s3.0 \times 10^9 \textrm{ s}, 10 cm
  2. 3.3×1010 s3.3 \times 10^{-10} \textrm{ s}, 10 cm
  3. 3.3×1010 s3.3 \times 10^{-10} \textrm{ s}, 10 m
  4. 3.0×109 s3.0 \times 10^9 \textrm{ s}, 10 m

View solution

Problem 3 (AP)

A wave is travelling through a medium until it hits the end of the medium and there is nothing but vacuum beyonWhat happens to a mechanical wave? Electromagnetic wave?
  1. reflects backward, continues on
  2. reflects backward, reflects backward
  3. continues on, continues on
  4. stops, continues on

View solution

Problem 4 (AP)

You’re on the moon, skipping around, and your radio breaks. What would be the best way to communicate this problem to your friend, who is also skipping around on the moon: yelling or flashing a light? Why?

View solution

Problem 5 (AP)

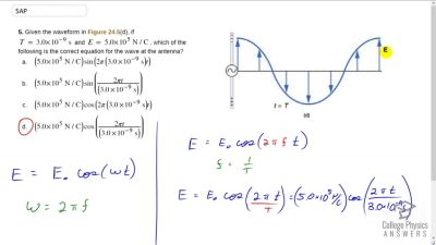
Given the waveform in Figure 24.5(d), if T=3.0×109 sT = 3.0 \times 10^{-9} \textrm{ s} and E=5.0×105 N/CE = 5.0 \times 10^5 \textrm{ N/C}, which of the following is the correct equation for the wave at the antenna?
  1. (5.0×105 N/C)sin(2π(3.0×109 s)t)\left( 5.0 \times 10^5 \textrm{ N/C} \right) \sin\left( 2\pi(3.0 \times 10^{-9} \textrm{ s})t \right)
  2. (5.0×105 N/C)sin(2πt3.0×109 s)\left( 5.0 \times 10^5 \textrm{ N/C} \right) \sin \left( \dfrac{2\pi t}{3.0 \times 10^{-9} \textrm{ s}} \right)
  3. (5.0×105 N/C)cos(2π(3.0×109 s)t)\left( 5.0 \times 10^5 \textrm{ N/C} \right) \cos\left( 2\pi(3.0 \times 10^{-9} \textrm{ s})t \right)
  4. (5.0×105 N/C)cos(2πt3.0×109 s)\left( 5.0 \times 10^5 \textrm{ N/C} \right) \cos \left( \dfrac{2\pi t}{3.0 \times 10^{-9} \textrm{ s}} \right)

View solution

Problem 6 (AP)

Given the waveform in Figure 24.5(d), if f=2 GHzf = 2\textrm{ GHz} and E=6.0×105 N/CE = 6.0\times 10^{5}\textrm{ N/C} what is the correct equation for the magnetic field wave at the antenna?

View solution

Problem 7 (AP)

In Heinrich Hertz’s spark gap experiment (Figure 24.4), how will the induced sparks in Loop 2 compare to those created in Loop 1?
  1. Stronger
  2. Weaker
  3. Need to know the tuner settings to tell
  4. Weaker, but how much depends on the tuner settings.

View solution

Problem 8 (AP)

The sun is far away from the Earth, and the intervening space is very close to empty. Yet the tilt of the Earth’s axis of rotation relative to the sun results in seasons. Explain why, given what you have learned in this section.

View solution

Section 24.3: The Electromagnetic Spectrum

Problem 9 (AP)

The correct ordering from least to greatest wavelength is:
  1. ELF, FM radio, microwaves, infrared, red, green, ultraviolet, x-ray, gamma ray
  2. ELF, FM radio, microwaves, infrared, green, red, ultraviolet, x-ray, gamma ray
  3. gamma ray, x-ray, ultraviolet, red, green, infrared, microwaves, FM radio, ELF
  4. gamma ray, x-ray, ultraviolet, green, red, infrared, microwaves, FM radio, ELF

View solution

Section 24.4: Energy in Electromagnetic Waves

Problem 11 (AP)

An old microwave oven outputs only half the electric field it used to. How much longer does it take to cook things in this microwave oven?
  1. Four times as long
  2. Twice as long
  3. Half the time
  4. One fourth the time

View solution

Problem 12 (AP)

Describe at least two improvements you could make to a radar set to make it more sensitive (able to detect things at longer ranges). Explain why these would work.

View solution