Chapter 19

Chapter thumbnail
Automated external defibrillator unit (AED)

Chapter 19 : Electric Potential and Electric Field - all with Video Solutions

Problems & Exercises

Section 19.1: Electric Potential Energy: Potential Difference

Problem 1

Find the ratio of speeds of an electron and a negative hydrogen ion (one having an extra electron) accelerated through the same voltage, assuming non-relativistic final speeds. Take the mass of the hydrogen ion to be 1.67×1027 kg1.67 \times 10^{-27} \textrm{ kg}.

View solution

Problem 2

An evacuated tube uses an accelerating voltage of 40 kV to accelerate electrons to hit a copper plate and produce x rays. Non-relativistically, what would be the maximum speed of these electrons?

View solution

Problem 3

A bare helium nucleus has two positive charges and a mass of 6.64×1027 kg6.64 \times 10^{-27} \textrm{ kg} (a) Calculate its kinetic energy in joules at 2.00% of the speed of light. (b) What is this in electron volts? (c) What voltage would be needed to obtain this energy?

View solution

Problem 4

Singly charged gas ions are accelerated from rest through a voltage of 13.0 V. At what temperature will the average kinetic energy of gas molecules be the same as that given these ions?

View solution

Problem 5

The temperature near the center of the Sun is thought to be 15 million degrees Celsius (1.5×107 C1.5 \times 10^{7}\textrm{ }^\circ\textrm{C}). Through what voltage must a singly charged ion be accelerated to have the same energy as the average kinetic energy of ions at this temperature?

View solution

Problem 6

(a) What is the average power output of a heart defibrillator that dissipates 400 J of energy in 10.0 ms? (b) Considering the high-power output, why doesn’t the defibrillator produce serious burns?

View solution

Problem 7

A lightning bolt strikes a tree, moving 20.0 C of charge through a potential difference of 1.00×102 MV1.00 \times 10^2 \textrm{ MV}. (a) What energy was dissipated? (b) What mass of water could be raised from 15C15^\circ\textrm{C} to the boiling point and then boiled by this energy? (c) Discuss the damage that could be caused to the tree by the expansion of the boiling steam.

View solution

Problem 8

A 12.0 V12.0\textrm{ V} battery operated bottle warmer heats 50.0 g of glass, 2.50×102 g2.50\times 10^{2}\textrm{ g} of baby formula, and 2.00×102 g2.00\times 10^{2}\textrm{ g} of aluminum from 20.0 C20.0^\circ\textrm{ C} to 90.0C90.0^\circ\textrm{C}. (a) How much charge is moved by the battery? (b) How many electrons per second flow if it takes 5.00 min to warm the formula? (Hint: Assume that the specific heat of baby formula is about the same as the specific heat of water.)

View solution

Problem 9

A battery-operated car utilizes a 12.0 V system. Find the charge the batteries must be able to move in order to accelerate the 750 kg car from rest to 25.0 m/s, make it climb a 2.00×102 m2.00 \times 10^2 \textrm{ m} high hill, and then cause it to travel at a constant 25.0 m/s by exerting a 5.00×102 N5.00 \times 10^2 \textrm{ N} force for an hour.

View solution

Problem 10

Fusion probability is greatly enhanced when appropriate nuclei are brought close together, but mutual Coulomb repulsion must be overcome. This can be done using the kinetic energy of high-temperature gas ions or by accelerating the nuclei toward one another. (a) Calculate the potential energy of two singly charged nuclei separated by 1.00×1012 m1.00\times 10^{-12}\textrm{ m} by finding the voltage of one at that distance and multiplying by the charge of the other. (b) At what temperature will atoms of a gas have an average kinetic energy equal to this needed electrical potential energy?

View solution

Problem 11

(a) Find the voltage near a 10.0 cm diameter metal sphere that has 8.00 C of excess positive charge on it. (b) What is unreasonable about this result? (c) Which assumptions are responsible?

View solution

Section 19.2: Electric Potential in a Uniform Electric Field

Problem 14

What is the strength of the electric field between two parallel conducting plates separated by 1.00 cm and having a potential difference (voltage) between them of 1.50×104 V1.50\times 10^{4}\textrm{ V}?

View solution

Problem 15

The electric field strength between two parallel conducting plates separated by 4.00 cm is 7.50×104 V/m7.50 \times 10^4 \textrm{ V/m}. (a) What is the potential difference between the plates? (b) The plate with the lowest potential is taken to be at zero volts. What is the potential 1.00 cm from that plate (and 3.00 cm from the other)?

View solution

Problem 16

How far apart are two conducting plates that have an electric field strength of 4.50×103 V/m4.50\times 10^{3}\textrm{ V/m} between them, if their potential difference is 15.0 kV?

View solution

Problem 17

(a) Will the electric field strength between two parallel conducting plates exceed the breakdown strength for air (3.0×106 V/m3.0 \times 10^6 \textrm{ V/m}) if the plates are separated by 2.00 mm and a potential difference of 5.0×103 V5.0 \times 10^3 \textrm{ V} is applied? (b) How close together can the plates be with this applied voltage?

View solution

Problem 18

The voltage across a membrane forming a cell wall is 80.0 mV and the membrane is 9.00 nm thick. What is the electric field strength? (The value is surprisingly large, but correct. Membranes are discussed in Capacitors and Dielectrics and Nerve Conduction—Electrocardiograms.) You may assume a uniform electric field.

View solution

Problem 19

Membrane walls of living cells have surprisingly large electric fields across them due to separation of ions. (Membranes are discussed in some detail in Nerve Conduction—Electrocardiograms.) What is the voltage across an 8.00 nm–thick membrane if the electric field strength across it is 5.50 MV/m? You may assume a uniform electric field.

View solution

Problem 20

Two parallel conducting plates are separated by 10.0 cm, and one of them is taken to be at zero volts. (a) What is the electric field strength between them, if the potential 8.00 cm from the zero volt plate (and 2.00 cm from the other) is 450 V? (b) What is the voltage between the plates?

View solution

Problem 21

Find the maximum potential difference between two parallel conducting plates separated by 0.500 cm of air, given the maximum sustainable electric field strength in air to be 3.0×106 V/m3.0 \times 10^6 \textrm{ V/m}

View solution

Problem 22

A doubly charged ion is accelerated to an energy of 32.0 keV by the electric field between two parallel conducting plates separated by 2.00 cm. What is the electric field strength between the plates?

View solution

Problem 23

An electron is to be accelerated in a uniform electric field having a strength of 2.00×106 V/m2.00 \times 10^6 \textrm{ V/m}. (a) What energy in keV is given to the electron if it is accelerated through 0.400 m? (b) Over what distance would it have to be accelerated to increase its energy by 50.0 GeV?

View solution

Section 19.3: Electrical Potential Due to a Point Charge

Problem 24

A 0.500 cm diameter plastic sphere, used in a static electricity demonstration, has a uniformly distributed 40.0 pC charge on its surface. What is the potential near its surface?

View solution

Problem 25

What is the potential 0.530×1010 m0.530 \times 10^{-10} \textrm{ m} from a proton (the average distance between the proton and electron in a hydrogen atom)?

View solution

Problem 26

(a) A sphere has a surface uniformly charged with 1.00 C. At what distance from its center is the potential 5.00 MV? (b) What does your answer imply about the practical aspect of isolating such a large charge?

View solution

Problem 27

How far from a 1.00 μC1.00 \textrm{ }\mu\textrm{C} point charge will the potential be 100 V? At what distance will it be 2.00×102 V2.00 \times 10^2 \textrm{ V}?

View solution

Problem 29

If the potential due to a point charge is 5.00×102 V5.00 \times 10^2 \textrm{ V} at a distance of 15.0 m, what are the sign and magnitude of the charge?

View solution

Problem 30

In nuclear fission, a nucleus splits roughly in half. (a) What is the potential 2.00×1014 m2.00\times 10^{-14}\textrm{ m} from a fragment that has 46 protons in it? (b) What is the potential energy in MeV of a similarly charged fragment at this distance?

View solution

Problem 31

A research Van de Graaff generator has a 2.00-m- diameter metal sphere with a charge of 5.00 mC on it. (a) What is the potential near its surface? (b) At what distance from its center is the potential 1.00 MV? (c) An oxygen atom with three missing electrons is released near the Van de Graaff generator. What is its energy in MeV at this distance?

View solution

Problem 32

An electrostatic paint sprayer has a 0.200-m-diameter metal sphere at a potential of 25.0 kV that repels paint droplets onto a grounded object. (a) What charge is on the sphere? (b) What charge must a 0.100-mg drop of paint have to arrive at the object with a speed of 10.0 m/s?

View solution

Problem 33

In one of the classic nuclear physics experiments at the beginning of the 20th century, an alpha particle was accelerated toward a gold nucleus, and its path was substantially deflected by the Coulomb interaction. If the energy of the doubly charged alpha nucleus was 5.00 MeV, how close to the gold nucleus (79 protons) could it come before being deflected?

View solution

Problem 34

(a) What is the potential between two points situated 10 cm and 20 cm from a 3.0 μC3.0\textrm{ }\mu\textrm{C} point charge? (b) To what location should the point at 20 cm be moved to increase this potential difference by a factor of two?

View solution

Problem 35

(a) What is the final speed of an electron accelerated from rest through a voltage of 25.0 MV by a negatively charged Van de Graaff terminal? (b) What is unreasonable about this result? (c) Which assumptions are responsible?

View solution

Section 19.4: Equipotential Lines

Problem 36

(a) Sketch the equipotential lines near a point charge +q+q. Indicate the direction of increasing potential. (b) Do the same for a point charge 3q-3q.

View solution

Problem 37

Sketch the equipotential lines for the two equal positive charges shown in Figure 19.33. Indicate the direction of increasing potential.

View solution

Problem 38

Figure 19.34 shows the electric field lines near two charges q1q_1 and q2q_2 , the first having a magnitude four times that of the second. Sketch the equipotential lines for these two charges, and indicate the direction of increasing potential.

View solution

Problem 39

Sketch the equipotential lines a long distance from the charges shown in Figure 19.34. Indicate the direction of increasing potential.

View solution

Problem 40

Sketch the equipotential lines in the vicinity of two opposite charges, where the negative charge is three times as great in magnitude as the positive. See Figure 19.34 for a similar situation. Indicate the direction of increasing potential.

View solution

Problem 41

Sketch the equipotential lines in the vicinity of the negatively charged conductor in Figure 19.35. How will these equipotentials look a long distance from the object?

View solution

Problem 42

Sketch the equipotential lines surrounding the two conducting plates shown in Figure 19.36, given the top plate is positive and the bottom plate has an equal amount of negative charge. Be certain to indicate the distribution of charge on the plates. Is the field strongest where the plates are closest? Why should it be?

View solution

Problem 43

(a) Sketch the electric field lines in the vicinity of the charged insulator in Figure 19.37. Note its non-uniform charge distribution. (b) Sketch equipotential lines surrounding the insulator. Indicate the direction of increasing potential.

View solution

Problem 44

The naturally occurring charge on the ground on a fine day out in the open country is –1.00 nC/m2 . (a) What is the electric field relative to ground at a height of 3.00 m? (b) Calculate the electric potential at this height. (c) Sketch electric field and equipotential lines for this scenario.

View solution

Problem 45

The lesser electric ray (Narcine bancroftii) maintains an incredible charge on its head and a charge equal in magnitude but opposite in sign on its tail (Figure 19.38). (a) Sketch the equipotential lines surrounding the ray. (b) Sketch the equipotentials when the ray is near a ship with a conducting surface. (c) How could this charge distribution be of use to the ray?

View solution

Section 19.5: Capacitors and Dielectrics

Problem 48

What charge is stored on a parallel plate capacitor with metal plates, each of area 1.00 m21.00\textrm{ m}^2, separated by 1.00 mm, when 3.00×103 V3.00\times 10^{3}\textrm{ V} is applied across it?

View solution

Problem 49

Calculate the voltage applied to a 2.00 μF2.00 \textrm{ }\mu\textrm{F} capacitor when it holds 3.10 μC3.10 \textrm{ }\mu\textrm{C} of charge.

View solution

Problem 52

What is the capacitance of a large Van de Graaff generator’s terminal, given that it stores 8.00 mC of charge at a voltage of 12.0 MV?

View solution

Problem 53

Find the capacitance of a parallel plate capacitor having plates of area 5.00 m25.00 \textrm{ m}^2 that are separated by 0.100 mm of Teflon.

View solution

Problem 54

(a) What is the capacitance of a parallel plate capacitor having plates of area 1.50 m21.50\textrm{ m}^2 that are separated by 0.0200 mm of neoprene rubber? (b) What charge does it hold when 9.00 V is applied to it?

View solution

Problem 55

A prankster applies 450 V to an 80.0 μF80.0 \textrm{ }\mu\textrm{F} capacitor and then tosses it to an unsuspecting victim. The victim’s finger is burned by the discharge of the capacitor through 0.200 g of flesh. What is the temperature increase of the flesh? Is it reasonable to assume no phase change?

View solution

Problem 56

(a) A certain parallel plate capacitor has plates of area 4.00 m24.00\textrm{ m}^2, separated by 0.0100 mm of nylon, and stores 0.170 C of charge. What is the applied voltage? (b) What is unreasonable about this result? (c) Which assumptions are responsible or inconsistent?

View solution

Section 19.6: Capacitors in Series and Parallel

Problem 58

Suppose you want a capacitor bank with a total capacitance of 0.750 F and you possess numerous 1.50 mF capacitors. What is the smallest number you could hook together to achieve your goal, and how would you connect them?

View solution

Problem 59

What total capacitances can you make by connecting a 5.00 μF5.00 \textrm{ }\mu\textrm{F} and an 8.00 μF8.00 \textrm{ }\mu\textrm{F} capacitor together?

View solution

Problem 62

(a) An 8.00 μF8.00\textrm{ }\mu\textrm{F} capacitor is connected in parallel to another capacitor, producing a total capacitance of 5.00 μF5.00\textrm{ }\mu\textrm{F} . What is the capacitance of the second capacitor? (b) What is unreasonable about this result? (c) Which assumptions are unreasonable or inconsistent?

View solution

Section 19.7: Energy Stored in Capacitors

Problem 63

(a) What is the energy stored in the 10.0 μF10.0\textrm{ }\mu\textrm{F} capacitor of a heart defibrillator charged to 9.00×103 V9.00 \times 10^3 \textrm{ V}? (b) Find the amount of stored charge.

View solution

Problem 64

In open heart surgery, a much smaller amount of energy will defibrillate the heart. (a) What voltage is applied to the 8.00 μF8.00\textrm{ }\mu\textrm{F} capacitor of a heart defibrillator that stores 40.0 J of energy? (b) Find the amount of stored charge.

View solution

Problem 65

A 165 μF165 \textrm{ }\mu\textrm{F} capacitor is used in conjunction with a motor. How much energy is stored in it when 119 V is applied?

View solution

Problem 66

Suppose you have a 9.00 V battery, a 2.00 μF2.00\textrm{ }\mu\textrm{F} capacitor, and a 7.40 μF7.40\textrm{ }\mu\textrm{F} capacitor. (a) Find the charge and energy stored if the capacitors are connected to the battery in series. (b) Do the same for a parallel connection.

View solution

Problem 67

A nervous physicist worries that the two metal shelves of his wood frame bookcase might obtain a high voltage if charged by static electricity, perhaps produced by friction. (a) What is the capacitance of the empty shelves if they have area 1.00×102 m21.00 \times 10^2 \textrm{ m}^2 and are 0.200 m apart? (b) What is the voltage between them if opposite charges of magnitude 2.00 nC are placed on them? (c) To show that this voltage poses a small hazard, calculate the energy stored.

View solution

Problem 68

Show that for a given dielectric material the maximum energy a parallel plate capacitor can store is directly proportional to the volume of dielectric ( Volume=Ad\textrm{Volume} = A \cdot d). Note that the applied voltage is limited by the dielectric strength.

View solution

Problem 70

(a) On a particular day, it takes 9.60×103 J9.60\times 10^{3}\textrm{ J} of electric energy to start a truck’s engine. Calculate the capacitance of a capacitor that could store that amount of energy at 12.0 V. (b) What is unreasonable about this result? (c) Which assumptions are responsible?

View solution

Test Prep for AP® Courses

Section 19.1: Electric Potential Energy: Potential Difference

Problem 1 (AP)

An electron is placed in an electric field of 12.0 N/C12.0 \textrm{ N/C} to the right. What is the resulting force on the electron?
  1. 1.33×1020 N right1.33 \times 10^{-20} \textrm{ N right}
  2. 1.33×1020 N left1.33 \times 10^{-20} \textrm{ N left}
  3. 1.92×1018 N right</li><li>1.92 \times 10^{-18} \textrm{ N right}</li> <li>1.92 \times 10^{-18} \textrm{ N left}$

View solution

Problem 2 (AP)

A positively charged object in a certain electric field is currently being pushed west by the resulting force. How will the force change if the charge grows? What if it becomes negative?

View solution

Problem 3 (AP)

A −5.0 C charge is being forced south by a 60 N force. What are the magnitude and direction of the local electric field?
  1. 12 N/C South12 \textrm{ N/C South}
  2. 12 N/C North</li><li>12 \textrm{ N/C North}</li> <li>300 \textrm{ N/C South}
  3. 300 N/C North300 \textrm{ N/C North}

View solution

Problem 4 (AP)

A charged object has a net force of 100 N east acting on it due to an electric field of 50 N/C pointing north. How is this possible? If not, why not?

View solution

Problem 5 (AP)

How many electrons have to be moved by a car battery containing 7.20×105 J7.20 \times 10^{5} \textrm{ J} at 12 V to reduce the energy by 1%?
  1. 4.80×10274.80 \times 10^{27}
  2. 4.00×10264.00 \times 10^{26}
  3. 3.75×10213.75 \times 10^{21}
  4. $3.13 \times 10^{20}

View solution

Problem 6 (AP)

Most of the electricity in the power grid is generated by powerful turbines spinning around. Why don’t these turbines slow down from the work they do moving electrons?

View solution

Problem 7 (AP)

A typical AAA battery can move 2000 C of charge at 1.5 V. How long will this run a 50 mW LED?
  1. 1000 minutes
  2. 120,000 seconds
  3. 15 hours
  4. 250 minutes

View solution

Problem 8 (AP)

Find an example car (or other vehicle) battery, and compute how many of the AAA batteries in the previous problem it would take to equal the energy stored in it. Which is more compact?

View solution

Problem 9 (AP)

What is the internal energy of a system consisting of two point charges, one 2.0 μC, and the other −3.0 μC, placed 1.2 m away from each other?
  1. 3.8×102 J-3.8 \times 10^{-2} \textrm{ J}
  2. 4.5×102 J-4.5 \times 10^{-2} \textrm{ J}
  3. 4.5×102 J4.5 \times 10^{-2} \textrm{ J}
  4. 3.8×102 J3.8 \times 10^{-2} \textrm{ J}

View solution

Problem 10 (AP)

A system of three point charges has a 1.00 μC charge at the origin, a −2.00 μC charge at x=30 cm, and a 3.00 μC charge at x=70 cm. What is the total stored potential energy of this configuration?

View solution

Problem 11 (AP)

A system has 2.00 μC charges at (50 cm, 0) and (−50 cm, 0) and a −1.00 μC charge at (0, 70 cm). As the y-coordinate of the −1.00 μC charge increases, the potential energy ___. As the y-coordinate of the −1.00 μC charge decreases, the potential energy ___.
  1. increases, increases
  2. increases, decreases
  3. decreases, increases
  4. decreases, decreases

View solution

Problem 12 (AP)

A system of three point charges has a 1.00 μC charge at the origin, a −2.00 μC charge at x=30 cm, and a 3.00 μC charge at x=70 cm. What happens to the total potential energy of this system if the −2.00 μC charge and the 3.00 μC charge trade places?

View solution

Problem 13 (AP)

Take a square configuration of point charges, two positive and two negative, all of the same magnitude, with like charges sharing diagonals. What will happen to the internal energy of this system if one of the negative charges becomes a positive charge of the same magnitude?
  1. increase
  2. decrease
  3. no change
  4. not enough information

View solution

Problem 14 (AP)

Take a square configuration of point charges, two positive and two negative, all of the same magnitude, with like charges sharing diagonals. What will happen to the internal energy of this system if the sides of the square decrease in length?

View solution

Problem 15 (AP)

A system has 2.00 μC charges at (50 cm, 0) and (−50 cm, 0) and a −1.00 μC charge at (0, 70 cm), with a velocity in the –y-direction. When the −1.00 μC charge is at (0, 0) the potential energy is at a ___ and the kinetic energy is ___.
  1. maximum, maximum
  2. maximum, minimum
  3. minimum, maximum
  4. minimum, minimum

View solution

Section 19.2: Electric Potential in a Uniform Electric Field

Problem 17 (AP)

A negatively charged massive particle is dropped from above the two plates in Figure 19.7 into the space between them. Which best describes the trajectory it takes?
  1. A rightward-curving parabola
  2. A leftward-curving parabola
  3. A rightward-curving section of a circle
  4. A leftward-curving section of a circle

View solution

Problem 18 (AP)

Two massive particles with identical charge are launched into the uniform field between two plates from the same launch point with the same velocity. They both impact the positively charged plate, but the second one does so four times as far as the first. What sign is the charge? What physical difference would give them different impact points (quantify as a relative percent)? How does this compare to the gravitational projectile motion case?

View solution

Problem 19 (AP)

Two plates are lying horizontally, but stacked with one 10.0 cm above the other. If the upper plate is held at +100 V, what is the magnitude and direction of the electric field between the plates if the lower is held at +50.0 V? -50.0 V?
  1. 500 V/m, 1500 V/m, down
  2. 500 V/m, 1500 V/m, up
  3. 1500 V/m, 500 V/m, down
  4. 1500 V/m, 500 V/m, up

View solution

Problem 20 (AP)

Two parallel conducting plates are 15 cm apart, each with an area of 0.75 m20.75\textrm{ m}^2. The left one has a charge of -0.225 C placed on it, while the right has a charge of 0.225 C. What is the magnitude and direction of the electric field between the two?

View solution

Problem 21 (AP)

Consider three parallel conducting plates, with a space of 3.0 cm between them. The leftmost one is at a potential of +45 V, the middle one is held at ground, and the rightmost is at a potential of -75 V. What is the magnitude of the average electric field on an electron traveling between the plates? (Assume that the middle one has holes for the electron to go through.)
  1. 1500 V/m
  2. 2500 V/m
  3. 4000 V/m
  4. 2000 V/m

View solution

Problem 22 (AP)

A new kind of electron gun has a rear plate at −25.0 kV, a grounded plate 2.00 cm in front of that, and a +25.0 kV plate 4.00 cm in front of that. What is the magnitude of the average electric field?

View solution

Problem 23 (AP)

A certain electric potential isoline graph has isolines every 5.0 V. If six of these lines cross a 40 cm path drawn between two points of interest, what is the (magnitude of the average) electric field along this path?
  1. 750 V/m
  2. 150 V/m
  3. 38 V/m
  4. 75 V/m

View solution

Problem 24 (AP)

Given a system of two parallel conducting plates held at a fixed potential difference, describe what happens to the isolines of the electric potential between them as the distance between them is changed. How does this relate to the electric field strength?

View solution

Section 19.4: Equipotential Lines

Problem 25 (AP)

How would Figure 19.15 be different with two positive charges replacing the two negative charges?
  1. The equipotential lines would have positive values.
  2. It would actually resemble Figure 19.14.
  3. no change
  4. not enough information

View solution

Problem 26 (AP)

Consider two conducting plates, placed on adjacent sides of a square, but with a 1-m space between the corner of the square and the plate. These plates are not touching, not centered on each other, but are at right angles. Each plate is 1 m wide. If the plates are held at a fixed potential difference ΔV\Delta V, draw the equipotential lines for this system.

View solution

Problem 27 (AP)

As isolines of electric potential get closer together, the electric field gets stronger. What shape would a hill have as the isolines of gravitational potential get closer together?
  1. constant slope
  2. steeper slope
  3. shallower slope
  4. a U-shape

View solution

Problem 29 (AP)

How much work is necessary to keep a positive point charge in orbit around a negative point charge?
  1. A lot; this system is unstable.
  2. Just a little; the isolines are far enough apart that crossing them doesn’t take much work.
  3. None; we’re traveling along an isoline, which requires no work.
  4. There’s not enough information to tell.

View solution

Problem 30 (AP)

Consider two conducting plates, placed on adjacent sides of a square, but with a 1-m space between the corner of the square and the plate. These plates are not touching, not centered on each other, but are at right angles. Each plate is 1 m wide. If the plates are held at a fixed potential difference ΔV, sketch the path of both a positively charged object placed between the near ends, and a negatively charged object placed near the open ends.

View solution

Section 19.5: Capacitors and Dielectrics

Problem 31 (AP)

Two parallel plate capacitors are otherwise identical, except the second one has twice the distance between the plates of the first. If placed in otherwise identical circuits, how much charge will the second plate have on it compared to the first?
  1. four times as much
  2. twice as much
  3. the same
  4. half as much

View solution

Problem 32 (AP)

In a very simple circuit consisting of a battery and a capacitor with an adjustable distance between the plates, how does the voltage vary as the distance is altered?

View solution

Problem 33 (AP)

A parallel plate capacitor with adjustable-size square plates is placed in a circuit. How does the charge on the capacitor change as the length of the sides of the plates is increased?
  1. it grows proportional to length2\textrm{length}^2
  2. it grows proportional to length
  3. it shrinks proportional to length
  4. it shrinks proportional to length2\textrm{length}^2

View solution

Problem 35 (AP)

A student was changing one of the dimensions of a square parallel plate capacitor and measuring the resultant charge in a circuit with a battery. However, the student forgot which dimension was being varied, and didn’t write it or any units down. Given the table, which dimension was it?
Table 19.2
Dimension 1.00 1.10 1.20 1.30
Charge (μC\mu\textrm{C}) 0.50 0.61 0.71 0.86
  1. The distance between the plates
  2. The area
  3. The length of a side
  4. Both the area and the length of a side

View solution

Problem 36 (AP)

In an experiment in which a circular parallel plate capacitor in a circuit with a battery has the radius and plate separation grow at the same relative rate, what will happen to the total charge on the capacitor?

View solution

Section 19.7: Energy Stored in Capacitors

Problem 37 (AP)

Consider a parallel plate capacitor, with no dielectric material, attached to a battery with a fixed voltage. What happens when a dielectric is inserted into the capacitor?
  1. Nothing changes, except now there is a dielectric in the capacitor.
  2. The energy in the system decreases, making it very easy to move the dielectric in.
  3. You have to do work to move the dielectric, increasing the energy in the system.
  4. The reversed polarity destroys the battery.

View solution

Problem 38 (AP)

Consider a parallel plate capacitor with no dielectric material. It was attached to a battery with a fixed voltage to charge up, but now the battery has been disconnected. What happens to the energy of the system and the dielectric material when a dielectric is inserted into the capacitor?

View solution

Problem 39 (AP)

What happens to the energy stored in a circuit as you increase the number of capacitors connected in parallel? Series?
  1. increases, increases
  2. increases, decreases
  3. decreases, increases
  4. decreases, decreases

View solution

Problem 41 (AP)

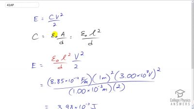
Consider a parallel plate capacitor with metal plates, each of square shape of 1.00 m on a side, separated by 1.00 mm. What is the energy of this capacitor with 3.00×103 V3.00 \times 10^3 \textrm{ V} applied to it?
  1. 3.98×102 J3.98 \times 10^{-2} \textrm{ J}
  2. 5.08×1014 J5.08 \times 10^{14} \textrm{ J}
  3. 1.33×105 J1.33 \times 10^{-5} \textrm{ J}
  4. 1.69×1011 J1.69 \times 10^{11} \textrm{ J}

View solution

Problem 42 (AP)

Consider a parallel plate capacitor with metal plates, each of square shape of 1.00 m on a side, separated by 1.00 mm. What is the internal energy stored in this system if the charge on the capacitor is 30.0 μC?

View solution

Problem 43 (AP)

Consider a parallel plate capacitor with metal plates, each of square shape of 1.00 m on a side, separated by 1.00 mm. If the plates grow in area while the voltage is held fixed, the capacitance ___ and the stored energy ___.
  1. decreases, decreases
  2. decreases, increases
  3. increases, decreases
  4. increases, increases

View solution

Problem 44 (AP)

Consider a parallel plate capacitor with metal plates, each of square shape of 1.00 m on a side, separated by 1.00 mm. What happens to the energy of this system if the area of the plates increases while the charge remains fixed?

View solution